‚ª‚ñ—\–h‚Ì•K—v«‚ªŒê‚ç‚ê‚邿‚¤‚ɂȂÁ‚Ä‚©‚Ȃ肽‚¿‚Ü‚·‚ªAŒ»ó‚±‚ê‚͂Ƃ¢‚¤•û–@‚ª‚ ‚é‚킯‚łȂA‘Šú”Œ©‚݂̂ª‚‚ç‚©‚ÉŒê‚ç‚êA‚»‚ꂪ—Bˆê‚Ì•û–@‚Å‚ ‚é‚©‚ª‚²‚Æ‚Œ¾‚í‚ê‚Ä‚¢‚Ü‚·B‚»‚µ‚ÄA‘Šú”Œ©‚ð–Ú“I‚Æ‚µ‚½ŒŸf‚Ì•K—v«‚ª‚₯‚É‹’²‚³‚ê‚Ä‚¢‚Ü‚·B‚µ‚©‚µA—lX‚ÈŒŸf‚à‘å‹K–̓Rƒz[ƒgŒ¤‹†‚ªoŽn‚߂邯•K‚¸‚µ‚àAŽ€–S—¦‚ð‰º‚°‚é‚킯‚ł͂Ȃ¢‚±‚Æ‚ª•ª‚©‚èŽn‚ßA‚»‚Ì—LŒø«‚É‹^–₪‚à‚½‚ê‚邿‚¤‚ɂȂÁ‚Ä‚«‚Ä‚¢‚Ü‚·B
ˆê•ûAŠ„‡‚Í’á‚¢‚Å‚·‚ª––Šú‚ª‚ñ‚ÌŠ³ŽÒ‚ª‰æŠú“I‚ɉñ•œ‚·‚é—Ⴊ‚ ‚邱‚Æ‚àŽ–ŽÀ‚Å‚ ‚è‚Ü‚·B‚»‚ê‚ðl‚¦‚邯‚â‚͂輗mˆãŠw‚ł͌v‚è’m‚ê‚È‚¢•”•ª‚ɉ½‚ç‚©‚Ì—\–h‚̃qƒ“ƒg‚ª‰B‚³‚ê‚Ä‚¢‚é‚Ì‚©‚à‚µ‚ê‚Ü‚¹‚ñB
‚»‚±‚ÅA¼—mˆãŠwA“Œ—mˆãŠw‚»‚Ì‘¼‚ǂ̂悤‚È‚±‚Æ‚Å‚à‹«–Ú‚È‚A‚ª‚ñ‚Ì—\–h‚ÉŒÀ‚Á‚ÄŒŸ“¢‚ð‰Á‚¦‚Ä‚Ý‚é‚ÆˆÓŠO‚ÈŽ–ŽÀA•ûŒü«‚ªŒ©‚¦‚Ä‚‚é‚©‚à‚µ‚ê‚Ü‚¹‚ñB‘Ήž‚ðl‚¦‚é‚ɂ͂܂¸‚ª‚ñ‚ð‚æ‚—‰ð‚·‚邱‚Æ‚ª•K—v‚Å‚·BŒ»Ý‚Å‚à‚»‚Ì”‚ª‚ñ‹@\‚ɂ͗lX‚È—vˆö‚ª’ñˆÄ‚³‚êAŒŸØ‚³‚ê‚æ‚¤‚Æ‚µ‚Ä‚¢‚Ü‚·‚ªA‚¢‚Ü‚¾‚É–¾Šm‚È‚à‚Ì‚ª—‰ð‚³‚ꂽ‚킯‚ł͂ ‚è‚Ü‚¹‚ñB‚»‚±‚ÅA‚Ü‚¸A‚ª‚ñ‚Ì“Á’¥‚Ì®—‚©‚çŽn‚ß‚½‚¢‚ÆŽv‚¢‚Ü‚·B
‚悤‚±‚»A•ćˆã—ÓŒvî•ñƒNƒŠƒjƒbƒNƒz[ƒ€ƒy[ƒW‚ÖB ‚ ‚È‚½‚Í @”Ô–Ú‚Ì–K–âŽÒ‚Å‚·!
\\\\\\\\\\\\\\\\\\\\\\\\\\\\\\\\\\\\\\\\\\\\\\
‚¨–â‚¢‡‚킹 @komejun@enjoy.zaq.jp
\\\\\\\\\\\\\\\\\\\\\\\\\\\\\\\\\\\\\\\\\\\\\\
‚ª‚ñ—\–h‚ðl‚¦‚éã‚Å‚ª‚ñ‚Ì“Á’¥‚ð‚܂Ƃ߂Ă݂܂·B
‚ª‚ñ‚Ì“Á’¥‚Íh‚ª‚ñ‚Ì•ªŽq¶•¨Šw@‘æ2”Å@L. Pecorinoh@1)@‚É‚æ‚邯AŽŸ‚Ì8€–ڂƂȂÁ‚Ä‚¢‚Ü‚·B
‘BƒVƒOƒiƒ‹‚ÌŽ©—§«
‘B—}§ƒVƒOƒiƒ‹‚̉ñ”ð
–³§ŒÀ‘B”]
ŒŒŠÇV¶
×–EŽ€‚̉ñ”ð
–ƉuŒn‚É‚æ‚é”j‰ó‚©‚ç‚̉ñ”ð
ƒGƒlƒ‹ƒM[‘ãŽÓ‚ÌÄ\¬
Žîᇑ£i«‚̉ŠÇ
ƒQƒmƒ€•sˆÀ’諂̕ψÙ
‚©‚È‚è“‚¢“Á’¥‚ª•À‚ñ‚Å‚¢‚Ü‚·‚ªA‚±‚̂悤‚È“Á’¥‚ðŽ‚¿‡‚킹‚éŽîá‡A‚‚܂舫«Žîᇂð“Á‚É‚ª‚ñ‚ÆŒ¾‚Á‚Ä‚¢‚Ü‚·BŽîᇂɂÍA—Ç«‚ƈ««‚ª‚ ‚è‚»‚Ì“Á’¥‚ÍŽŸ‚̂悤‚ɂ܂Ƃ߂ç‚ê‚Ä‚¢‚Ü‚·B
—Ç«@Benign
Žü‚è‚Ì‘gD‚ðN‚³‚È‚¢A“]ˆÚ‚µ‚È‚¢Žîá‡
ˆ««@Malignant
Žü‚è‚Ì‘gD‚ÉZ‚µA—£‚ꂽ•”ˆÊ‚É“]ˆÚ‚·‚éŽîá‡@@‚ª‚ñ
Žîá‡‚Ì‚à‚¤‚µ×‚©‚È•ª—ނ͉º‚̂悤‚ɂȂÁ‚Ä‚¢‚Ü‚·B
Žîá‡
—Ç«Žîá‡
ˆ««Žîᇂª‚ñˆ««V¶•¨
Šà(ã”ç«)@carcinoma
‘B‚ª‚ñ adenocarcinoma
“÷Žî(”ñã”ç«) sarcoma
‚Ü‚¸‚ÍA—Ç«Žîᇂ©‚ç‚܂Ƃ߂Ă݂܂·B—Ç«Žîᇂ̓Á’¥‚ÍŽŸ‚Ì—l‚ɂ܂Ƃ߂邱‚Æ‚ªo—ˆ‚Ü‚·B
—Ç«Žîá‡Fbenign tumor
‘Sg (¶–½) ‚ւ̉e‹¿‚̂Ȃ¢C”ˆç‚ª–c’£«‚Å‚ ‚Á‚ÄCZ«‚łȂC‚»‚Ì‘¬“x‚ª‚ä‚é‚¢‚©C’âŽ~‚·‚éŒXŒü‚ð‚à‚¿C“]ˆÚ‚âÄ”‚ð‹N‚·‚±‚Ƃ̂܂ê‚ÈŽîá‡‚ð‚¢‚¤Bˆ««Žîᇂ̑ΌêBŽîᇎÀŽ¿‚ªã”ç«‚Ì“û“ªŽîC‘BŽîC”XŽî‚ȂǂÆC”ñã”ç«‚ÌüˆÛŽîC‹ØŽîCŒŒŠÇŽîCމ–bŽî‚ȂǂÌ2ŒQ‚É•ª‚¯‚éB(ƒuƒŠƒ^ƒjƒJ‘Û‘å•S‰ÈŽ–“T)
—Ç«Žîᇂ̒†‚ɂ͈««Žîᇂɕω»‚µ‚Ä‚¢‚‚à‚Ì‚à‚ ‚邱‚Æ‚ª‚±‚Ƃ𕡎G‚É‚µ‚Ä‚¢‚Ü‚·‚ªAˆ««ŽîᇂÍA’[“I‚É‚Ü‚Æ‚ß‚é‚ÆŽŸ‚Ì—l‚ɂȂè‚Ü‚·B
ˆ««Žîᇂ͎Ÿ‚Ì—l‚ɂ܂Ƃ߂邱‚Æ‚ªo—ˆ‚Ü‚·B
ˆ««Žîá‡Fmalignant tumor
ˆê”ʂɔˆç‚ª‘¬‚CŽüˆÍ‚Ì‘gD‚ð”j‰ó‚µCŒŒ‰t‚⃊ƒ“ƒp‚É‚æ‚Á‚Ä‘¼‚Ìꊂɓ]ˆÚ‚µ‚â‚·‚¢Žîá‡‚ð‚¢‚¤Bã”çŒn‚̔畆C”S–ŒC‘B‚Ȃǂ©‚ç”¶‚·‚é‚à‚Ì‚ªŠàŽîC”ñã”çŒn‚ÌŒ‹‡‘gDCœC“îœCƒŠƒ“ƒp߂Ȃǂɔ¶‚·‚é‚Ì‚ª“÷Žî‚ÅC—¼ŽÒ‚ð‡‚¹‚Ĉê”Ê“I‚ÉŠà‚ÆÌ‚µClŒû“®‘Ô“Œv‚ł͈««V¶•¨‚Æ‚à‚¢‚¤B(ƒuƒŠƒ^ƒjƒJ‘Û‘å•S‰ÈŽ–“T)
“Á’¥‚ð“ñ‚‹“‚°‚邯‚µ‚½‚çAZ‚Æ“]ˆÚ‚Å‚·Bˆ««ŽîᇂÍAZ«‚É”ˆç‚·‚邽‚ßCŽîá‡‚ðØœ‚·‚éꇂ͑傫‚Øœ‚µ‚È‚‚Ă͂Ȃè‚Ü‚¹‚ñB
‚Ü‚½CØœ‚µ‚½ê‡‚àC‘Ì“à‚ÉŽæ‚èŽc‚·‚±‚Æ‚ª‚ ‚èCŽæ‚èŽc‚µ‚½ŽîᇂªÄ”‚ð‚«‚½‚µ‚Ü‚·B—£‚ꂽꊂւ̓]ˆÚ‚ð‚«‚½‚·‚½‚ßCŽîᇔ¶•”ˆÊ‚Ì‚Ý‚ðŽæ‚èœ‚¢‚½‚Æ‚µ‚Ä‚àC“]ˆÚ•”ˆÊ‚Å‘B‚µCÅI“I‚ɂ͑Sg‚Ö“]ˆÚ‚µC¶–½‚ðŽ€‚É‚¢‚½‚炵‚߂邱‚Æ‚ª‚ ‚è‚Ü‚·B
‚±‚±‚ÅABZ«‘B‚Ƃ͎Ÿ‚Ì—l‚È“Á’¥‚ðŒ¾‚¢‚Ü‚·B
Žîá‡×–E‚ªŽüˆÍ‚Ì‘gD‚É‚µ‚¸‚Âõ‚Ýž‚ނ悤‚É‘B‚·‚éBL‚¢”͈͂Ɉê—l‚ÉL‚ª‚èAŽüˆÍ‘gD‚ð‰ó‚µ‚È‚ª‚çis‚·‚éBŽüˆÍ‚ÉŒŒŠÇ‚⃊ƒ“ƒpŠÇ‚ª‚ ‚ê‚ÎAŽîá‡×–E‚Í‚»‚ê‚ç‚ð‚à”j‰ó‚µAŠÇ‚Ì’†‚Ö“ü‚èž‚ÞB
‚»‚µ‚ÄA“]ˆÚ‚Ƃ͎Ÿ‚Ì—l‚È“Á’¥‚ðŒ¾‚¢‚Ü‚·B
‰½‚ç‚©‚Ì•û–@‚ÅŽîᇂªŒ´”•”ˆÊ(ʼn‚É”¶‚µ‚½•”ˆÊ)‚𗣂êA‘¼‚Ì•”ˆÊ(‘ŸŠí)‚É“ž’B‚µ‚ÄA‚»‚±‚ÅV‚½‚É‘B‚ðs‚¤‚±‚Æ‚ð“]ˆÚ‚Æ‚¢‚¢‚Ü‚·BŒŒs«“]ˆÚ(ŒŒ—¬‚ɉ^‚΂ê‚Ä“]ˆÚ/”x‚ÆŠÌ‘Ÿ‚É‚¨‚±‚è‚â‚·‚¢)‚ÆƒŠƒ“ƒps«“]ˆÚ(ƒŠƒ“ƒpŠÇ‚Ì—¬‚ê‚ɂ̂Á‚ÄŠeƒŠƒ“ƒp߂ɓ]ˆÚ)A”dŽí(‘Ìo‚É‚¨‚¢‚ÄAŸ÷–Œ‚Ì•\–ʂɒB‚µ‚½Žîá‡×–E‚ª“à‘Ÿ‚Ì“®‚«‚É”º‚¢‚µ‚¸‚‚΂ç‚Ü‚©‚êAL‚ª‚é)‚ª‚ ‚è‚Ü‚·B
ˆ««Žîᇂɂà—lX‚ÈŽí—Þ‚ª‚ ‚èAˆê”Ê“I‚ÉŽŸ‚Ì—l‚É•ª—Þ‚³‚ê‚Ü‚·B
@ã”竈««Žîá‡EEEEG•½ã”çŠàC‘BŠàCˆÚsã”çŠà‚Ȃǂª‚ ‚èAG•½ã”çŠà‚ÍH“¹C”xCŽq‹{Œz•”‚ȂǂÉC‘BŠà‚͈ÝC‘å’°‚ȂǂÉCˆÚsã”çŠà‚ÍäNã÷‚Ȃǂɔ¶‚µ‚Ü‚·B
@”ñã”竈««Žîá‡EEEüˆÛ“÷ŽîCœ“÷ŽîCމ–b“÷ŽîCŒŒŠÇ“÷ŽîC‰¡–䋨“÷Žî‚Ȃǂª‚ ‚èA‘Sg‚̓‘gD‚Ì‚¢‚¸‚ê‚É‚à”¶‚µ‚Ü‚·B
@‘¢ŒŒ‘gD«Žîá‡EEEEƒŠƒ“ƒpŽîC”’ŒŒ•a‚Ȃǂª‚ ‚èAƒŠƒ“ƒpŽî‚Í‘Sg‚ÌƒŠƒ“ƒp‘•’uCƒŠƒ“ƒp߂ɔ¶‚µ‚Ü‚·B”’ŒŒ•a‚ÍŒŒ‰t‚Ì’†‚É”¶‚µ‚Ü‚·B
@‘ÙŽ™«Žîá‡EEEEEEŠïŒ`ŽîCt‰è×–EŽîCŠÌ‰è×–EŽî‚Ȃǂª‚ ‚èAŠïŒ`Ží‚Í—‘‘ƒ‚É”¶‚·‚é‚à‚Ì‚ª—L–¼‚Å‚·Dt‰è×–EŽîCŠÌ‰è×–EŽî‚Í¬Ž™Šú‚É”¶‚·‚éŽîᇂł·B
ˆ««ŽîᇂÍis‚ª‘BA“]ˆÚ‚É‚æ‚Á‚Äis‚·‚邽‚ß‚»‚Ìis“x‚ðŒv‚éŽw•W‚ª‚ ‚è‚Ü‚·B
ˆÙŒ^“xE•ª‰»“xEˆ««“x
@ˆÙŒ^“xEEEˆÙŒ^“x‚Ƃ͎îá‡×–E‚¨‚æ‚ÑŽîá‡×–E‚Ì\¬‚·‚é‘gD\‘¢‚ÌC³í‚©‚ç‚ÌŠu‚½‚è‚Ì’ö“x‚Ì‚±‚ÆB
@•ª‰»“xEEEŽîá‡×–E‚ª”¶‚µ‚½•ê×–E‚Ì‚à‚“Á’¥‚ð‚à‚Â’ö“x‚Ì‚±‚ÆB
@ˆ««“xEEEŽîᇂ̑B‘¬“x‚ª‘‚¢C“]ˆÚ‚µ‚â‚·‚¢CÄ”‚µ‚â‚·‚¢CŽ€–S—¦‚ª‚‚¢‚ȂǂƂ¢‚¤¶–½—\Œã‚ɑ΂·‚é‰e‹¿‚Ì’ö“x‚Ì‚±‚ÆB
@X‚É“]ˆÚ‚É‚à‚»‚Ì“Á’¥‚É‚æ‚Á‚ÄŽí—Þ‚ª‚ ‚è‚Ü‚·B
ƒŠƒ“ƒps«“]ˆÚEEEŽîá‡×–E‚ªƒŠƒ“ƒpŠÇ‚ÖZ‚µCƒŠƒ“ƒp—¬‚ê‚ɂ̂Á‚Ä“]ˆÚ‚·‚邱‚ÆB“ªŒz•”Šà‚ÌŒz•”ƒŠƒ“ƒpß“]ˆÚC“ûŠà‚Ìãüâ|ƒŠƒ“ƒpß“]ˆÚ‚Ȃǂª‚ ‚è‚Ü‚·B
@ŒŒs«“]ˆÚEEEŽîá‡×–E‚ªŒŒŠÇ‚ÖZ‚µCŒŒ—¬‚ɂ̂Á‚Ä“]ˆÚ‚·‚邱‚ÆB—lX‚È‘ŸŠí‚©‚çŠÌC”x‚ÖŒŒs«“]ˆÚ‚µ‚Ü‚·D‘½”‚·‚邱‚Æ‚à“Á’¥‚̈ê‚‚ł·B
@”dŽí«“]ˆÚEEEŽîá‡×–E‚ª‘Ìo“à‚É—V—£‚µ‚ÄC‚΂ç‚Ü‚©‚êC‘Ìo•Ç‹y‚Ñ‘½‘ŸŠí‚É“]ˆÚ‚·‚邱‚ÆB‚ª‚ñ«‹¹–Œ‰ŠC‚ª‚ñ«• –Œ‰Š‚Í”dŽí«“]ˆÚ‚É‚æ‚è¶‚¶‚Ü‚·B
‚ª‚ñ‚Ì“Á’¥‚̂܂Ƃ߂͂±‚Ì’ö“x‚É‚µ‚ÄAŽŸ‚É‚ª‚ñ‚ª‚ǂ̒ö“x‚ÌŽ€–SŒ´ˆö‚ƂȂÁ‚Ä‚¢‚é‚©‚ð‚µ’²‚ׂĂ݂܂·B
Ž€–SŒ´ˆö‚Ì‚ª‚ñ‚͂ǂ̒ö“x‚ÌŠ„‡‚Å‚µ‚傤‚©B•½¬23”Ni2011jlŒû“®‘Ô“Œv2) ‚É‚æ‚邯”N‘ã•ÊŽ€–SŒ´ˆö‚ÍAŽŸ‚Ì•\‚Ì‚²‚Æ‚‚È‚Á‚Ä‚¢‚Ü‚·B‚±‚Ì’l‚Í10–œl‚ ‚½‚è‚ÌŽ€–S—¦(‚‚܂è10–œl“–‚½‚艽l‚ª‚»‚ÌŒ´ˆö‚łȂ‚Ȃ邩‚Æ‚¢‚¤‚±‚ÆBŽÀÛ‚Ìl”‚ł͂Ȃ10–œl“–‚½‚è‚ÌŠ„‡‚Å‚ ‚éˆ×Ž€–S—¦‚ƌĂ΂ê‚Ü‚·)‚Ì”Žš‚ƂȂÁ‚Ä‚¨‚è‚Ü‚·B
‚±‚Ì’†‚Å‚ª‚ñ‚݂̂𔲂«o‚µ‚Ü‚·‚ÆŽŸ‚Ì—l‚ɂȂè‚Ü‚·BЇŒÊ‚Ì’†‚Ì”Žš‚Í‚»‚Ì”N‘ã‚ÌŽ€–SŒ´ˆö‚Ì’†‚̇ˆÊ‚ƂȂè‚Ü‚·B
Ž€–SŒ´ˆö(‡ˆÊ) ‘SŽ€–S‚Ì’†@@@10–œl“–‚½‚è lŒû: çl
@@@@@@@@@@@@@@@@‚ÌŠ„‡
‘@” ˆ««V¶•¨(1) 28.498% 283.1/100,000 127,799
0 Î ˆ««V¶•¨(5ˆÈ‰º) 0? ??
1`4 ˆ««V¶•¨(3) 2.754% 1.9/100000 5,303
5`9 ˆ««V¶•¨(2) 13.043% 1.8/100000 5,490
10`14 ˆ««V¶•¨(2) 15.323% 1.9/100000 5,912
15`19 ˆ««V¶•¨(3) 8.997% 2.6/100000 6,075
20`24 ˆ««V¶•¨(3) 7.484% 3.6/100000 6,370
25`29 ˆ««V¶•¨(3) 8.745% 4.6/100000 7,219
30`34 ˆ««V¶•¨(3) 14.928% 9.3/100000 8,093
35`39 ˆ««V¶•¨(2) 20.624% 17.2/100000 9,712
40`44 ˆ««V¶•¨(1) 25.368% 31.0/100000 9,315
45`49 ˆ««V¶•¨(1) 30.858% 59.0/100000 7,966
50`54 ˆ««V¶•¨(1) 37.189% 110.6/100000 7,639
55`59 ˆ««V¶•¨(1) 43.835% 199.1/100000 8,320
60`64 ˆ««V¶•¨(1) 47.368% 323.0/100000 10,632
65`69 ˆ««V¶•¨(1) 46.773% 490.7/100000 7,861
70`74 ˆ««V¶•¨(1) 42.490% 672.1/100000 7,184
75`79 ˆ««V¶•¨(1) 36.406% 997.2/100000 6,143
80`84 ˆ««V¶•¨(1) 28.537% 1401.7/100000 4,494
85`89 ˆ««V¶•¨(1) 20.819% 1772.3/100000 2,625
90`94 ˆ««V¶•¨(3) 13.919% 2090.2/100000 1,082
95`99 ˆ««V¶•¨(5) 9.058% 2286.4/100000 317
100Î
ˆÈã" ˆ««V¶•¨(5) 4.869% 2027.7/100000 47
‚±‚̂悤‚ÉA‚ª‚ñ‚ÍŽ€–S‚̑傫‚ÈŠ„‡‚ðè‚߂è‚èA“Á‚É40‘ã‚©‚ç‚Ì“‚«·‚è‚É‘æˆêˆÊ‚ÌŒ´ˆö‚ƂȂÁ‚Ä‚¨‚èA‚µ‚©‚à‚»‚Ì—\Œã(‰½‚ç‚©‚̈ãŠw“Iˆ’u‚ð‚µ‚½Œã‚Ì‚±‚Æ)‚ðˆ«‚‚·‚銄‡‚ª‚‚¢‚½‚߂ɂº‚Ð‚Æ‚à‚»‚ÌŽ€–S—¦‚ðŒ¸‚ç‚µ‚½‚¢—vˆö‚Å‚·B
‚»‚µ‚ÄA‚ª‚ñ‚̜늳—¦‚ÍŽŸ‚Ì—l‚ɂȂÁ‚Ä‚¢‚Ü‚·B75΂ð‰ß‚¬‚邯ˆê’i‚Æ‚»‚̊댯«‚ª‘‚¦‚Ä‚«‚Ü‚·B
•”ˆÊ œëг—¦(“)
@@75΂܂жŠUF•½‹ÏŽõ–½ •½‹Ï
‘S‘Ì @@26.564% 40.440%(84Î) 0.6663%/”N
’j«‘S•”ˆÊ@31.436% 44.292%(80.21Î) 0.7981%/”N
—«‘S•”ˆÊ@22.070% 35.078%(86.61Î) 0.5414%/”N
ŽŸ‚É‚ª‚ñ‚Ì—\–h‚ÌlŽ@‚Ɉڂè‚Ü‚·‚ªA‚ª‚ñ‚Ío—ˆ‚éꊂɂæ‚è‚©‚Ȃ肻‚Ì“Á’¥‚ªˆá‚Á‚Ä‚¢‚Ü‚·‚Ì‚ÅA
‚ª‚ñ‚Ì—\–h‚ðl‚¦‚éã‚Å‚ª‚ñ‚Ìo—ˆ‚éꊂɂæ‚蕪—Þ‚µ‚Ä‚»‚Ì“Á’¥‚æ‚è—\–h–@‚ðl‚¦‚Ă݂܂·B
‚Ü‚¸A“ú–{l‚É“Á‚É’j«‚É‘½‚¢AˆÝ‚ª‚ñ‚©‚çl‚¦‚Ă݂܂·B
“ú–{Á‰»ŠíŠw•a‰ï2012‚É‚æ‚è‚Ü‚·‚ÆA
•”ˆÊ œëг—¦(“) Ž€–S—¦(“)
75΂܂жŠU 75΂܂жŠU
’j«ˆÝ‚ª‚ñ 6.0 10.9 1.8 4.1
—«ˆÝ‚ª‚ñ 2.3 5.5 0.7 2.0
‚»‚µ‚Ä–¾Šm‚Ȋ댯ˆöŽq‚Æ‚µ‚ÄA@ƒsƒƒŠ‹ÛŠ´õA‰–•ª‰ßèÛŽæ(6g/“ú‚æ‚葽‚¢)A”\“®‹i‰ŒA–ìØ•s‘«A‰Ê•¨•s‘«‚ð‚ ‚°‚Ä‚¢‚Ü‚·B
ˆê•ûA‘—§‚ª‚ñŒ¤‹†ƒZƒ“ƒ^[‚ª‚ñî•ñƒT[ƒrƒX‚ÌlŒû“®‘Ô“Œv2) ‚É‚æ‚邪‚ñŽ€–Sƒf[ƒ^i1958”N`2013”Nj‚ðŠî‚ɉÁH‚µ‚Ü‚·‚ÆA

2011‚Ì10–œl‚ ‚½‚è‚݂̈ª‚ñœëг—¦
•”ˆÊ œëг—¦(“)
@@75΂܂жŠUF•½‹ÏŽõ–½ •½‹Ï
‘S‘Ì @@4.357% 8.136%(84Î) 0.103%/”N
’j«ˆÝ‚ª‚ñ@6.534% 10.0201%(80.21Î) 0.145%/”N
—«ˆÝ‚ª‚ñ@2.322% 5.000%(86.61Î) 0.064%/”N
‘O‚̃f[ƒ^‚Ƃ͂µˆá‚¢‚Ü‚·‚ªAÚׂª‚ ‚è‚Ü‚·‚̂ł±‚¿‚ç‚ðŠî€‚Æ‚µ‚½‚¢‚ÆŽv‚¢‚Ü‚·B’j«‚Ì•û‚ª—«‚æ‚è2”{’ö“xˆÝ‚ª‚ñ‚ɂ͂©‚©‚è‚â‚·‚¢‚悤‚Å‚·B‚»‚µ‚Ä75΂ð‰ß‚¬‚邯‚»‚ÌŠ„‡‚ªã¸‚µA‚¨‚¨‚æ‚»75΂܂łɜ늳‚·‚é—¦‚ÆA‚»‚êˆÈŒã‚ɜ늳‚·‚é—¦‚ª‚Ù‚Ú“™‚µ‚‚È‚Á‚Ä‚¢‚Ü‚·B¶ŠUœëг—¦‚Ås‚Á‚Ä’j«‚Å10“’ö“xA—«‚Å‚Í5“’ö“x‚Å‚·B‹°‚ê‚邿‚¤‚È”Žš‚ł͂Ȃ¢‚ÆŽv‚¢‚Ü‚·B‚µ‚©‚µA–³Ž‹‚Å‚«‚锎š‚ł͂ȂA—\–h‚ª‚Å‚«‚é‚ɉz‚µ‚½‚±‚Ƃ͂ ‚è‚Ü‚¹‚ñB‚»‚±‚ÅA‚Ü‚¸‚»‚ꂼ‚ê‚Ì”N‘ã‚܂ł̜늳—¦‚Æ—ÝϜ늳—¦‚ÌÚׂð‚Ü‚Æ‚ß‚é‚ÆŽŸ‚Ì—l‚ɂȂè‚Ü‚·B
”N—î•ʈ݂ª‚ñœëг—¦@2011@10–œl‚ ‚½‚è‚Ì”N—î•ʈ݂ª‚ñ—ÝϜ늳—¦ 2)
|
”N—î |
0-4 |
5-9 |
10-14 |
15-19 |
20-24 |
25-29 |
|
‘S‘Ì(10–œl‚ ‚½‚è‚Ì—ÝϜ늳”) |
0.0 |
0.0 |
0.0 |
0.0 |
0.5 |
2.5 |
|
‘S‘Ì(—ÝϜ늳—¦“) |
0% |
0% |
0% |
0% |
0.00% |
0.00% |
|
’j«(10–œl‚ ‚½‚è‚Ì—ÝϜ늳”) |
0.0 |
0.0 |
0.0 |
0.0 |
0.5 |
1.8 |
|
’j«(—ÝϜ늳—¦“) |
0% |
0% |
0% |
0% |
0.00% |
0.00% |
|
—«(10–œl‚ ‚½‚è‚Ì—ÝϜ늳”) |
0.0 |
0.0 |
0.0 |
0.0 |
0.5 |
3.3 |
|
—«(—ÝϜ늳—¦“) |
0% |
0% |
0% |
0% |
0.00% |
0.00% |
|
”N—î |
30-34 |
35-39 |
40-44 |
45-49 |
50-54 |
55-59 |
|
‘S‘Ì(10–œl‚ ‚½‚è‚Ì—ÝϜ늳”) |
6.5 |
13.5 |
26.4 |
55.0 |
109.3 |
208.6 |
|
‘S‘Ì(—ÝϜ늳—¦“) |
0.01% |
0.01% |
0.03% |
0.06% |
0.11% |
0.21% |
|
’j«(10–œl‚ ‚½‚è‚Ì—ÝϜ늳”) |
4.9 |
10.4 |
24.9 |
57.9 |
132.5 |
278.5 |
|
’j«(—ÝϜ늳—¦“) |
0.00% |
0.01% |
0.02% |
0.06% |
0.13% |
0.28% |
|
—«(10–œl‚ ‚½‚è‚Ì—ÝϜ늳”) |
8.0 |
16.7 |
28.0 |
52.2 |
86.1 |
139.5 |
|
—«(—ÝϜ늳—¦“) |
0.01% |
0.02% |
0.03% |
0.05% |
0.09% |
0.14% |
|
”N—î |
60-64 |
65-69 |
70-74 |
75-79 |
80-84 |
85~ |
|
‘S‘Ì(10–œl‚ ‚½‚è‚Ì—ÝϜ늳”) |
363.9 |
583.5 |
890.0 |
1273.3 |
1694.8 |
2104.6 |
|
‘S‘Ì(—ÝϜ늳—¦“) |
0.36% |
0.58% |
0.89% |
1.27% |
1.70% |
2.1% |
|
’j«(10–œl‚ ‚½‚è‚Ì—ÝϜ늳”) |
514.5 |
856.8 |
1349.2 |
1965.1 |
2675.6 |
3383.8 |
|
’j«(—ÝϜ늳—¦“) |
0.51% |
0.86% |
1.35% |
1.97% |
2.68% |
3.38% |
|
—«(10–œl‚ ‚½‚è‚Ì—ÝϜ늳”) |
216.9 |
324.1 |
469.7 |
673.0 |
907.9 |
1200.8 |
|
—«(—ÝϜ늳—¦“) |
0.22% |
0.32% |
0.47% |
0.67% |
0.91% |
1.20% |
‚±‚̃f[ƒ^‚ð‰ÁH‚µ‚ÄA‚»‚Ì”N‘ãˆÈ~‚Ɉ݂ª‚ñ‚É‚©‚©‚郊ƒXƒNA‚‚܂è—Ⴆ‚΂T‚O`‚T‚S‚Ìl‚ª‚»‚ÌŒã‚É‚©‚©‚郊ƒXƒN‚ðŒvŽZ‚µ‚Ă݂܂·‚ÆŽŸ‚Ì—l‚ɂȂè‚Ü‚·B@
”N—î•ʂ̶ŠUˆÝ‚ª‚ñœëгƒŠƒXƒN‚ðŒvŽZ‚·‚邯
|
”N—î |
0-4 |
5-9 |
10-14 |
15-19 |
20-24 |
25-29 |
|
‘S‘Ì(10–œl‚ ‚½‚è‚ÌƒŠƒXƒNœëг”) |
2104.6 |
2104.6 |
2104.6 |
2104.6 |
2104.6 |
2104.1 |
|
‘S‘Ì(œëг—¦“) |
2.10% |
2.10% |
2.10% |
2.10% |
2.10% |
2.10% |
|
’j«(10–œl‚ ‚½‚è‚ÌƒŠƒXƒNœëг”) |
3383.8 |
3383.8 |
3383.8 |
3383.8 |
3383.8 |
3383.3 |
|
’j«(œëг—¦“) |
3.38% |
3.38% |
3.38% |
3.38% |
3.38% |
3.38% |
|
—«(10–œl‚ ‚½‚è‚ÌƒŠƒXƒNœëг”) |
1200.8 |
1200.8 |
1200.8 |
1200.8 |
1200.8 |
1200.3 |
|
—«(œëг—¦“) |
1.20% |
1.20% |
1.20% |
1.20% |
1.20% |
1.20% |
|
”N—î |
30-34 |
35-39 |
40-44 |
45-49 |
50-54 |
55-59 |
|
‘S‘Ì(10–œl‚ ‚½‚è‚ÌƒŠƒXƒNœëг”) |
2102.1 |
2098.1 |
2091.1 |
2078.2 |
2049.5 |
1995.3 |
|
‘S‘Ì(œëг—¦“) |
2.10% |
2.10% |
2.09% |
2.08% |
2.05% |
2.00% |
|
’j«(10–œl‚ ‚½‚è‚ÌƒŠƒXƒNœëг”) |
3382.0 |
3378.9 |
3373.5 |
3359.0 |
3325.9 |
3251.3 |
|
’j«(œëг—¦“) |
3.38% |
3.38% |
3.37% |
3.36% |
3.33% |
3.25% |
|
—«(10–œl‚ ‚½‚è‚ÌƒŠƒXƒNœëг”) |
1197.6 |
1192.8 |
1184.2 |
1172.8 |
1148.6 |
1114.7 |
|
—«(œëг—¦“) |
1.20% |
1.19% |
1.18% |
1.27% |
1.15% |
1.11% |
|
”N—î |
60-64 |
65-69 |
70-74 |
75-79 |
80-84 |
85~ |
|
‘S‘Ì(10–œl‚ ‚½‚è‚ÌƒŠƒXƒNœëг”) |
1896.0 |
1740.7 |
1521.1 |
1214.6 |
831.3 |
409.8 |
|
‘S‘Ì(œëг—¦“) |
1.90% |
1.74% |
1.52% |
1.21% |
0.83% |
0.41% |
|
’j«(10–œl‚ ‚½‚è‚ÌƒŠƒXƒNœëг”) |
3105.4 |
2869.3 |
2527.0 |
2034.6 |
1418.7 |
708.2 |
|
’j«(œëг—¦“) |
3.11% |
2.87% |
2.57% |
2.03% |
1.42% |
0.71% |
|
—«(10–œl‚ ‚½‚è‚ÌƒŠƒXƒNœëг”) |
1061.3 |
983.9 |
876.7 |
731.1 |
527.9 |
292.9 |
|
—«(œëг—¦“) |
1.06% |
0.94% |
0.88% |
0.73% |
0.53% |
0.29% |
2011@”N—î•Ê10–œl‚ ‚½‚è‚݂̈ª‚ñ¶ŠUœëгƒŠƒXƒN—¦2)
‚±‚ê‚ç‚Ì’l‚ÍA‚ ‚‚܂Ō‹‰Ê‚Å‚·B‚»‚Ì—vˆö‚ƂȂé‚à‚Ì‚ª‚í‚©‚ç‚È‚¢‚Æ—\–h‚ðlŽ@‚·‚邱‚Æ‚ªo—ˆ‚Ü‚¹‚ñB‚»‚±‚ÅA‚±‚ê‚ðo”“_‚Æ‚µ‚Ä—lX‚ÈlŽ@AC³‚ð‰Á‚¦‚Ä‚¢‚«‚½‚¢‚ÆŽv‚¢‚Ü‚·B
“ú–{Á‰»Ší•aŠw‰ï‚É‚æ‚è‚Ü‚·‚ÆAˆÝ‚ª‚ñ‚Ì—vˆö‚Æ‚µ‚ÄŽw“E‚³‚ê‚Ä‚¢‚é‚à‚͎̂Ÿ‚Ì—vˆö‚ƂȂè‚Ü‚·B‚»‚µ‚Ä‚»‚Ì’†‚ŃsƒƒŠ‹Û‚ÌŠ´õ‚ªÅ‘å‚Ì—vˆö‚Å‚ ‚邯‚µ‚Ä‚¢‚Ü‚·B
ˆÝ‚ª‚ñ”ǂ̗vˆö‚Æ‚µ‚ÄŽw“E‚³‚ê‚Ä‚¢‚é‚à‚ÌF“ú–{Á‰»Ší•aŠw‰ï
œƒXƒgƒŒƒX
@ƒXƒgƒŒƒX‚ÍŒŒ‰t‚Ì—¬‚ê‚ðˆ«‚‚µCŠˆ«Ž_‘f‚ð‘å—ʂɔ¶‚³‚¹CˆÝ‰Š‚âˆÝ’×ᇂ̌´ˆö‚ƂȂè‚Ü‚·B‚±‚ê‚炪ŒJ‚è•Ô‚³‚ê‚邱‚Ƃňݕǂª‚ª‚ñ‰»‚·‚éŠëŒ¯«‚ª‚ ‚è‚Ü‚·B
@
@ƒXƒgƒŒƒX‚ª‘½‚‚¢‚Â‚à‚¢‚ç‚¢‚炵‚Ä‚¢‚él‚͈݂ª‚ñ‚ɂȂéŠm—¦‚ª‚Q”{‚É‚È‚é‚Æ‚ÌŒ¤‹†Œ‹‰Ê‚ªŠàŠw‰ï‚Å•ñ‚³‚ê‚Ä‚¢‚Ü‚·B
œH‰–‚̉ßèÛŽæ
@“®•¨ŽÀŒ±‚Ȃǂ©‚çCˆÝ‚Ì’†‚ʼn–•ª”Z“x‚ª‚‚܂邯”S–Œ‚ªƒ_ƒ[ƒW‚ðŽó‚¯,ˆÝ‰Š‚ª”¶‚µ”‚ª‚ñ•¨Ž¿‚̉e‹¿‚ðŽó‚¯‚â‚·‚‚Ȃ邱‚Æ‚ªŽ¦‚³‚ê‚Ä‚¢‚Ü‚·B
@
@Œú¶˜J“Ȃ̌¤‹†‚Å‚ÍC–ñ‚S–œl‚Ì’j—‚ðH‰–ÚŽû—ʂɂæ‚èC‚T‚‚̃Oƒ‹[ƒv‚ɂ킯‚P‚O”NŠÔ’ÇÕ’²¸‚µ”äŠr‚µ‚½‚Æ‚±‚ëCH‰–ÛŽæ—Ê‚ÌÅ‚à‘½‚¢ƒOƒ‹[ƒv‚͂Ȃ¢ƒOƒ‹[ƒv‚É”ä‚ׂQ”{‚݂̈ª‚ñ”Ç—¦‚ðŽ¦‚µC“Á‚É‚½‚炱‚≖h‚Ȃǂ”Z“x‰–•ª‚Ì‚à‚̂𖈓úH‚ׂél‚ÍH‚ׂȂ¢l‚É”ä‚ׂR”{‚̔Ǘ¦‚ðŽ¦‚µ‚Ä‚¢‚邯‚¢‚¤‚±‚Æ‚ª‚í‚©‚è‚Ü‚µ‚½B
œ‹i‰Œ
@ƒ^ƒoƒR‚̉Œ‚ɂ̓jƒgƒƒ\ƒAƒ~ƒ“‚âƒWƒxƒ“ƒ]ƒsƒŒƒ“‚Ȃǂ̔‚ª‚ñ•¨Ž¿‚ªŠÜ‚Ü‚êC‚±‚ê‚炪ˆÝ•Ç‚ðŽhŒƒ‚µC‚ª‚ñ‚̔ǂ𑣂·‚Æl‚¦‚ç‚ê‚Ä‚¢‚Ü‚·B‚Ü‚½‹i‰Œ‚ÍŠˆ«Ž_‘f‚à”¶‚³‚¹‚Ü‚·B@‹i‰ŒŽÒ‚Í”ñ‹i‰ŒŽÒ‚Æ”äŠr‚·‚邯ˆÝ‚ª‚ñ‚̔Ǘ¦‚ª‚PD‚T”{`‚Q”{‚ɂȂè‚Ü‚·B
œ‘å—ʂ̃Aƒ‹ƒR[ƒ‹
@ƒAƒ‹ƒR[ƒ‹Ž©‘̂ɂ͔‚ª‚ñ«‚Í‚ ‚è‚Ü‚¹‚ñ‚ªC—Ê‚ª‘½‚¢‚ƈ݂̔S–Œ‚ð‚߂܂·B‚»‚±‚Ƀ^ƒoƒR‚Ì’†‚Ì”‚ª‚ñ•¨Ž¿‚ªì—p‚·‚邯‘Šæì—p‚Å‚æ‚肪‚ñ‰»‚ÌƒŠƒXƒN‚ª‚‚‚È‚èCˆÝ‚Ì“ü‚èŒû‚ɋ߂¢•”ˆÊ‚Ì‚ª‚ñ‚ÉŒÀ‚Á‚Ä‚ÍC‹i‰ŒŽÒ‚Í‚R”{C‚³‚ç‚ɃAƒ‹ƒR[ƒ‹‚àˆù‚Þl‚Í‚T”{‚à”Ç—¦‚ª‚‚‚È‚è‚Ü‚·B
œH•i“Y‰Á•¨EÅ‚°
@ƒnƒ€‚âƒx[ƒRƒ“‚Ì»‘¢‚É—p‚¢‚ç‚ê‚鈟Ɏ_‰–‚Í”‚ª‚ñ•¨Ž¿ƒjƒgƒƒ\ƒAƒ~ƒ“‚𶬂³‚¹C“¯—l‚Ƀjƒgƒƒ\ƒAƒ~ƒ“‚ðŠÜ‚Þ“÷‚â‹›‚ÌÅ‚°‚½•”•ª‚àˆÝ‚ª‚ñ‚ðˆø‚«‹N‚±‚·—vˆö‚Æl‚¦‚ç‚ê‚Ä‚¢‚Ü‚·B
œƒsƒƒŠ‹Û
@ƒsƒƒŠ‹Û‚Í“ú–{l‚ł͂T‚OΈÈã‚Ìl‚Ì‚W‚O“‚ªŠ´õ‚µ‚Ä‚¢‚邯Œ¾‚í‚ê‚Ä‚¢‚Ü‚·BƒsƒƒŠ‹Û‚©‚番”傳‚ê‚é“Å‘f‚͈ݔS–Œ‚̃^ƒ“ƒpƒN‚ÆŒ‹‡‚µC”S–Œ×–E‚ð”—£‚³‚¹‚Ü‚·B‚»‚±‚Ɉݎ_‚ªì—p‚µC’×ᇂ𔶂³‚¹‚Ü‚·B
@‚±‚̓őf‚ɃAƒ‹ƒR[ƒ‹‚ª‰Á‚í‚邯‘ŠæŒø‰Ê‚ÅˆÝ•Ç‚ð‚ª‚ñ‰»‚³‚¹‚éŠëŒ¯«‚ª‚³‚ç‚É‚‚Ü‚è‚Ü‚·BƒsƒƒŠ‹ÛŠ´õ‚ÍŒŒ‰tŒŸ¸‚ł킩‚èR¶•¨Ž¿‚ÅŽE‚¹‚é‚Ì‚ÅC‘‚߂ɜ‹Ž‚µ‚Ä‚¨‚«‚Ü‚µ‚傤B
@‚½‚¾‚µCƒsƒƒŠ‹Ûœ‹Ž‚Í•K‚¸‚µ‚à–œ”\‚ł͂ȂCœ‹Û‚ÌŒã‚É‹t—¬«H“¹‰Š‚Ȃǂª‹N‚±‚邱‚Æ‚à‚ ‚èCˆãŽt‚Æ‚æ‚‘Š’k‚µ‚Ü‚µ‚傤B
œˆâ“`ŽqˆÙí
@ˆÝ‚ª‚ñгŽÒ‚Ì‚UŠ„‚Í×–E‚Ì‘B‚ð—}‚¦‚éƒuƒŒ[ƒL–ð‚̈â“`Žq‚ɈÙ킪‚ ‚邱‚Æ‚ðC‹ž“s‘åŠwƒEƒCƒ‹ƒXŒ¤‹†Š‚̈ɓ¡‰Ã–¾‘O‹³Žö‚炪”Œ©‚µ•ñ‚µ‚Ä‚¢‚Ü‚·B
@@ˆÝ‚ª‚ñгŽÒŒv‚S‚Ul‚©‚ç̎悵‚½×–E‚ð’²‚×‚é‚ÆŠ³ŽÒ‚Ì–ñ‚U‚O“‚ÅÁ‰»y‘f‚Ì•ª”å‚𑣂·u‚q‚t‚m‚w‚Rv‚ƌĂԈâ“`Žq‚ÌŠˆ“®‚ª’âŽ~‚µ‚Ä‚¢‚Ü‚µ‚½B
@‚±‚̈â“`Žq‚ª“‚©‚È‚‚Ȃ邱‚Ƃɂæ‚èC”S–Œ×–E‚ªŒÀ‚è‚È‚‘B‚µ‚Ä‚µ‚Ü‚¤‚±‚Æ‚ª‚í‚©‚Á‚Ä‚¢‚Ü‚·B‚±‚̈â“`Žq‚ÌŠˆ“®’âŽ~‚ð‚¢‚©‚É‚·‚ê‚Ζh‚®‚±‚Æ‚ª‚Å‚«‚é‚©‚ª¡Œã‚ÌŒ¤‹†‚̉ۑè‚Å‚·B
ˆÈã“ú–{Á‰»Ší•aŠw‰ï‚æ‚èA
‚Ü‚¸AÅ‘å—vˆö‚Æ‚³‚ê‚éƒsƒƒŠ‹ÛŠ´õ‚̉e‹¿“x‚ðŒ©Ï‚à‚Á‚Ă݂½‚¢‚ÆŽv‚¢‚Ü‚·B
ƒsƒƒŠ‹Û‚ÌŠ´õ—¦‚̃f[ƒ^‚Æ‚µ‚ÄŽŸ‚Ì—l‚È‚à‚Ì‚ª‚ ‚è‚Ü‚·B”NXA“Á‚ÉŽá‚¢l‚ÌŠ´õ—¦‚ª‰º‚ª‚Á‚Ä‚¢‚Ü‚·‚ªAŒˆ‚µ‚Ä–³Ž‹‚Å‚«‚é’l‚ł͂ ‚è‚Ü‚¹‚ñB

3)
‚±‚Ì1990”N‚©‚ç1995”N‚Ìã‚ÌÔ‚¢ü‚ɑГ–‚·‚鎞Šú‚ÉŽŸ‚Ì—l‚ȃRƒz[ƒgŒ¤‹†‚ª‚È‚³‚ê‚Ä‚¢‚Ü‚·B4) ƒsƒƒŠ‹ÛŠ´õ‚݂̈ª‚ñ‚ւ̉e‹¿‚𒲸‚µ‚½ƒRƒz[ƒgŒ¤‹†‚Æ‚µ‚ÄÅ‘å‹K–͂̂à‚̂ł ‚èA‚±‚Ì“à—e‚æ‚è‰e‹¿“x‚ð„˜_‚µ‚Ă݂܂·B
Sasazuki “™‚É‚æ‚邯4)@1990”N‚Æ1993”N‚ÉŠâŽèŒ§“ñŒËAH“cŒ§‰¡ŽèAˆï錧…ŒËAVŠƒŒ§’·‰ªA’·–쌧²‹vA‘åã•{“cA‚’mŒ§’†‰›“ŒA’·èŒ§ãŒÜ“‡A‰«“ꌧ’†•”A‰«“ꌧ‹{ŒÃ‚É‚¨‚¢‚ăTƒ“ƒvƒ‹‚ðÌWB‡Œv’j«61009–¼A—«62567–¼‚ÌŒv123576–¼‚Ì‚¤‚¿A’j«47525–¼A—«52283–¼AŒv99808–¼‚©‚玿–â‚̕ԓš‚ð“üŽèB‚»‚Ì‚¤‚¿‚·‚łɂª‚ñ‚ɜ늳‚µ‚Ä‚¢‚éA“ú–{l‚łȂ¢Aˆø‰z‚µ‚Ä‚¢‚é‚à‚̂𜂢‚½A’j«46803–¼A—«50841–¼AŒv97644–¼‚ð‘I‘ðB2004”N12ŒŽ31“ú‚܂ŒÇÕB‚»‚ÌŠÔ‚É12250–¼’ÇÕ•s‰Â”\‚ƂȂéBŽc‚Á‚½85394–¼‚Ì’ÇÕ‚Å1681–¼‚ª‚ª‚ñ‚ðœëгB‚»‚Ì‚¤‚¿511–¼‚̃sƒƒŠ‹ÛŠ´õî•ñ‚ð“üŽè(ŽÀ‚Í‚±‚Ì‚ ‚½‚肪–¾Šm‚É‘‚¢‚ĂȂ‚Í‚Á‚«‚肵‚È‚¢‚̂ł·‚ªA“Á‚É12250‚Ì’ÇÕ•s–¾ŽÒ‚É‚ª‚ñ‚É‚æ‚鎀–S‚ªŠÜ‚Ü‚ê‚é‚Ì‚©‚ȂǕs–¾‚Å‚·B‚µ‚©‚µAðŒ‚ðŒÅ’肵‚È‚¢‚Ɖð͂ł«‚È‚¢‚½‚ßA‚à‚Á‚Æ‚à‚炵‚¢1681–¼‚ª85394–¼‚Ì’†‚©‚çœëг‚µ‚½‚Æ‚µ‚ĉðÍ‚µ‚Ü‚·)B‚»‚Ì“à511(M:327, F:169, 40-49:77, 50-59: 235, 60-69:199)–¼‚̃sƒƒŠ‹ÛŠ´õ‚𒲂ׂ½‚Æ‚±‚ë478–¼‚©‚çƒsƒƒŠ‹ÛŠ´õ‚ðŠm”F‚µ‚Ü‚µ‚½B(‚±‚ÌŠ´õ—¦‚Íã‚̃Oƒ‰ƒt‚Æ”N—î‚ð‘Ήž‚³‚¹‚Ă݂܂·‚ÆA—‚É‚©‚È‚Á‚½’l‚¾‚ÆŽv‚í‚ê‚Ü‚·B)
‚»‚µ‚ÄAˆÝ‚ª‚ñ‚̜늳‚̂Ȃ¢Žc‚è‚ÌlX‚æ‚èAo—ˆ‚éŒÀ‚è511–¼ˆêl‚ЂƂèƒ}ƒbƒ`ƒ“ƒO(ŒÂ•ʃ}ƒbƒ`ƒ“ƒO–@‚Æ‚¢‚í‚ê‚Ü‚·AŒã‚Ù‚Çà–¾‚·‚éŒð—‚ðŒ¸‚ç‚·‚½‚ß‚És‚í‚ê‚Ü‚·)‚·‚é511–¼‚ð‘I‚Ño‚µƒRƒ“ƒgƒ[ƒ‹‚Æ‚µ‚ÄAƒlƒXƒeƒBƒhEƒP[ƒXEƒRƒ“ƒgƒ[ƒ‹ƒXƒ^ƒfƒB‚ðŽÀŽ{‚µAƒsƒƒŠ‹ÛŠ´õ‚É‚æ‚郊ƒXƒN‚Ì‘Œ¸‚ð‰ðÍ‚µ‚Ä‚¢‚Ü‚·B
‚܂ƂßF
ƒTƒ“ƒvƒŠƒ“ƒO@1990@or 1993
’j«46803/—«50841 ‡Œv 97644
12250’ÇÕ•s”\ -> 85394’ÇÕ
(’ÇÕ•s”\‚Ì’j—”䂪•s–¾)
’j«13467/—«23278 ‡Œv36745ŒŒ‰t“üŽè
ˆÝ‚ª‚ñœëг1681/85394 -> 1.9685223%
(œëг‚Ì’j—”䂪•s–¾)
0.1312348%/”N : 131.2348252l/10–œl/”N
1681–¼‚©‚ç511‚ð‘I‘ð(ŠJŽnŽž“_‚ł̃sƒƒŠ‹ÛŠ´õî•ñ‚Ì“¾‚ç‚ꂽl)‘I‘ð = 0.303985722
(511–¼‚Ì’Šo•û–@‚ª•s–¾AƒsƒƒŠ‹ÛŠ´õî•ñ‚ª“¾‚ç‚ꂽl‚ð‘I‘ð‚µ‚½‚Æ‚·‚邯‘I‘ðƒoƒCƒAƒX‚̉”\«‘å)
•êW’c@85394x511/1681 = 25958 (Ø‚èŽÌ‚Ä)FˆÈã‚æ‚肱‚ê‚ð•êW’c‚Æl‚¦‚é‚Ì‚ª“KØB
ƒlƒXƒeƒBƒhƒTƒ“ƒvƒ‹@ 511/511
”N—î@57.4
’j«@66.8%(511’†)
’ÇÕŠúŠÔ15”N@1990-2004
A:B:C:D = 20.800: 21.011: 54.307: 3.90246FŒã‚Ù‚Çà–¾‚µ‚Ü‚·B
œëг—¦@511/25958 = 1.968565%
ˆÝ‚ª‚ñœëг—¦(%/”N) 0.1312%
‚±‚ÌŒ¤‹†‚ÍAˆÝ‚ª‚ñ‚̜늳‚ ‚èA‚È‚µ‚ŃTƒ“ƒvƒŠƒ“ƒO‚µ‚Ä‚¢‚Ü‚·‚Ì‚ÅA‚»‚̔䗦‚Í•êW’c‚𔽉f‚µ‚Ä‚¢‚Ü‚¹‚ñB‚»‚±‚ÅAƒŠƒXƒN”ä‚ð‚»‚Ì‚Ü‚Ü‹‚߂邱‚Ƃ͂ł«‚Ü‚¹‚ñ‚Ì‚ÅAƒIƒbƒY”ä‚ð‹‚߂܂·BK‚¢‚É‚àˆÝ‚ª‚ñ‚̜늳—¦‚ª’á‚¢(1681/85394)‚Ì‚ÅAƒIƒbƒY”ä‚ÍƒŠƒXƒN”䂯‹ß‚¢’l‚ƂȂè‚Ü‚·B‚»‚ÌŒ‹‰Ê‚ÍŽŸ‚Ì—l‚ɂȂè‚Ü‚·B
•ªŠ„•\ƒIƒbƒY”ä
•ªŠ„•\‚ð쬂·‚邯‰º‚̂悤‚ɂȂè‚Ü‚·B
|
|
ƒsƒƒŠ‹ÛŠ´õ |
ƒsƒƒŠ‹Û”ñŠ´õ |
¬Œv |
|
ˆÝ‚ª‚ñœëг |
478: a |
33: b |
511: m1 |
|
ˆÝ‚ª‚ñ”ñœëг |
383: c |
128: d |
511: m0 |
|
¬Œv |
861: n1 |
161: n0 |
1022: T |
•ªŠ„•\‚Ì‚»‚ꂼ‚ê‚Ì’l‚ð•\‚̂悤‚É–¼‘O(a,b“™)‚ð•t‚¯‚Ä‚¨‚«‚Ü‚·B
‚±‚̂ŋ»–¡‚ª‚ ‚é‚Ì‚ÍA‘Š‘ÎŠëŒ¯“xirelative riskj‚Å‚·B‘Š‘ÎŠëŒ¯“x‚ÍA–\˜IŒQ(ƒsƒƒŠ‹ÛŠ´õ)‚Ì”ñ–\˜IŒQ(ƒsƒƒŠ‹Û”ñŠ´õ)‚É‚¨‚¯‚鎾•a‚Ì•p“x‚ɑ΂·‚é”ä(”ÇƒŠƒXƒN‚Æ‚¢‚í‚ê‚Ü‚·)‚Ì‚±‚Ƃł·BƒRƒz[ƒgŒ¤‹†‚Å‚Í‘Š‘ÎƒŠƒXƒN‚Ü‚½‚ÍƒŠƒXƒN·‚ªˆê”Ê“I‚É—p‚¢‚ç‚ê‚Ü‚·Bˆê•ûAÇ—á‘ÎÆŒ¤‹†‚Å‚Í‘Š‘ÎƒŠƒXƒNFƒŠƒXƒN”äirisk ratioj‚ªŒvŽZ‚Å‚«‚Ü‚¹‚ñB‚±‚ê‚ÍAƒŠƒXƒN”ä‚ÌŒvŽZ‚Å•K—v‚ƂȂéAã•\‚Åa/n1‚Ì”ä‚Æ b/n0‚̔䂪A”Ç‚ ‚èA‚È‚µ‚Å•ÊX‚ɃTƒ“ƒvƒŠƒ“ƒO‚³‚ê‚»‚̃Tƒ“ƒvƒ‹ƒTƒCƒY‚Ì”ä(ã‚Ì—á‚ł͂ª‚ñœëг511‚Æ‚ª‚ñ”ñœëг511‚ª•êW’cAˆê”Ê“I‚ɂ͓ú–{l‘S‘ÌA‚ÌŠ„‡‚ƈႤ‚½‚ßA‚»‚Ì”ä‚ðŽæ‚é‚±‚ƂɈӖ¡‚ª‚È‚¢‚©‚ç‚Å‚·B@‚‚܂èA478/861‚ª“ú–{l‘S‘Ì‚Ì”ä‚Æˆá‚¤‚Æ‚¢‚¤‚±‚Ƃł·B@
‚»‚±‚ňê”Ê“I‚É‚ÍAÇ—á‘ÎÆŒ¤‹†‚Å‚ÍÇ—áƒIƒbƒY”äiodds ratioj‘ã—p‚³‚ê‚Ü‚·B–{—ˆ‚ÍAÇ—áƒIƒbƒY”ä(ã‚Ì—á‚Å‚Ía/c‚Æb/d‚Ì”ä)‚àA“¯‚¶——R‚Å‹‚߂邱‚Ƃ͂ł«‚Ü‚¹‚ñB‚µ‚©‚µAƒIƒbƒY”ä‚ɂ͑ÎÌ«‚ª‚ ‚èAÇ—áƒIƒbƒY”ä(a/c:b/d)‚Æ–\˜IƒIƒbƒY”ä(a/b:c/d)‚ªŒ‹‹Ç“¯‚¶Ž®(ad/bc)‚ƂȂ邽‚ßA–\˜IƒIƒbƒY”ä‚ð‹‚ßA‚»‚ê‚ðÇ—áƒIƒbƒY”䂯‚µ‚ÄŽg—p‚µ‚Ü‚·B‚»‚µ‚ÄA•p“x‚ª‹H‚ÈŽ¾•a‚Ìê‡ƒŠƒXƒN”ä‚̓IƒbƒY”ä‚ŋߎ—‚Å‚«‚é‚Ü‚·B‚»‚±‚ÅA–\˜IƒIƒbƒY”ä‚ðÇ—áƒIƒbƒY”䂯‚µAǗ჊ƒXƒN”ä‚Å‚ ‚鑊‘Ί댯“x‚Æ‚µ‚ÄA–\˜IŒQ‚Ì”ñ–\˜IŒQ‚ɑ΂·‚é”ÇƒŠƒXƒN‚Ì”ä‚Æ‚µ‚Ä—˜—p‚³‚ê‚Ü‚·B‚±‚Ì‚ ‚½‚è‚Ì—LŒø«‚àŠÜ‚ߌŸ“¢‚ð‚µ‚ÄA—\–h‚É—LŒø‚Èî•ñ‚ðˆø‚«o‚µ‚Ă݂܂µ‚傤B‚È‚¨Aã‚Ì—á‚Å‚àA–\˜IƒŠƒXƒN”ä‚‚܂èAa/m1‚Æ c/m0‚Ì”ä‚Í•êW’c‚Ì”ä‚ð•\‚µ‚Ä‚¢‚邽‚ß‹‚߂邱‚Æ‚ªo—ˆ‚Ü‚·B
‚±‚Ì•ªŠ„•\‚©‚ç–\˜I(ƒsƒƒŠ‹ÛŠ´õ)ƒŠƒXƒN”ä(RRD‚Æ‚µ‚Ü‚·)‚Æ‹‚߂邯A
RRD = (a/m1)/(c/m0) = (478/511)/(383/511) = 1.248
M—Š‹æŠÔCI = RRD x exp(}1.96xã(c/an1 + d/bn0) )
= 1.248 x exp(}1.96xã(383/478x511 + 128/33x511) )
= 1.181/1.319
exp‚ÍAŽw”‚̕ʋL‚Å‚·B‚‚܂èAexp(x) = ex ‚Ì‚±‚Ƃł·B‚±‚Ìà–¾‚Å‚ÍAexp()‚Ì•\‹L‚ðŽg‚¢‚Ü‚·B‚±‚ê‚ÍAœëгŽÒA”äœëгŽÒ‚̃sƒƒŠ‹ÛŠ´õŠ„‡‚Ì”ä‚Ì‚±‚Ƃł·B‚±‚ê‚Í’l‚Æ‚µ‚Ăͳ‚µ‚¢‚̂ł·‚ªA‚±‚ÌŒ¤‹†‚̈Ó}‚ƈê’v‚µ‚Ü‚¹‚ñB
ŽŸ‚ÉA•ªŠ„•\‚©‚ç–\˜I(ƒsƒƒŠ‹ÛŠ´õ)ƒIƒbƒY”ä‚ð‹‚߂邯
OR = (a/b)/(c/d) = (ad)/(bc) = (478x128)/(383x33) = 4.841
M—Š‹æŠÔ(CI)@
exp(}1.96xã(1/a + 1/b + 1/c + 1/d) )
= exp(}1.96xã(1/478 + 1/383 + 1/33 + 1/128) )
= exp (}0.4056)
= 1.5/0.6667
‹æŠÔ„’è ORx0.667 =3.227< OR=4.841 < ORx1.5=7.262
ŒJ‚è•Ô‚µ‚ɂȂè‚Ü‚·‚ªA‚±‚Ì•ªŠ„•\‚©‚狂߂Ă¢‚¢‚͖̂{—ˆ‚±‚Ì’l‚¾‚¯‚Å‚·B‚±‚ê‚ÍA–\˜IƒIƒbƒY”䂯‚È‚è‚Ü‚·B‚‚܂èA޾г‚Ì‚ ‚éƒOƒ‹[ƒv“à‚Ì–\˜I‚ÌŠ„‡‚ÆŽ¾Š³‚̂Ȃ¢ƒOƒ‹[ƒv“à‚Ì–\˜I‚ÌŠ„‡‚Ì”äA‚±‚ê‚ð–\˜IƒIƒbƒY”ä‚Å‚·B‚µ‚©‚µ–{—ˆ’m‚肽‚¢‚Ì‚Í”ÇƒŠƒXƒN‚Å‚·B‚‚܂èA–\˜I‚Ì‚ ‚é(ƒsƒƒŠ‹Û‚ÉŠ´õ‚µ‚Ä‚¢‚é)ƒOƒ‹[ƒv“à‚ł̔Ç(‚ª‚ñœëг)‚ÌŠ„‡‚Æ–\˜I‚̂Ȃ¢(ƒsƒƒŠ‹Û‚ÉŠ´õ‚µ‚Ä‚¢‚È‚¢)ƒOƒ‹[ƒv“à‚ł̔Ç(‚ª‚ñœëг)‚ÌŠ„‡‚Ì”äA‚‚܂è”ǃIƒbƒY”ä‚̂͂¸‚Å‚·B‚µ‚©‚µAæ‚Ù‚ÇŽ¦‚µ‚½‚悤‚ÉA”ǃIƒbƒY”䂯–\˜IƒIƒbƒY”ä‚Í“¯‚¶Ž®‚ƂȂè‚Ü‚·‚Ì‚ÅAŒ‹‰Ê‚ª“¯‚¶‚Ȃ̂Ŗ\˜IƒIƒbƒY”ä‚ð”ǃIƒbƒY”䂯“ǂݑւ¦‚ÄŽg—p‚µ‚Ü‚·B
‚Ü‚½A•ªŠ„•\‚Ìî•ñ—ʂ͎Ÿ‚Ì—l‚ɂȂè‚Ü‚·B‚±‚Ìî•ñ—ʂ̈Ӗ¡‚·‚邯‚±‚ë‚ÍAŒã‚Ù‚Çà–¾‚µ‚Ü‚·B
‘î•ñƒGƒ“ƒgƒƒs[: 1.579 (Max. 2)
‘ŠŒÝî•ñƒGƒ“ƒgƒƒs[: 0.0497
޾гî•ñƒGƒ“ƒgƒƒs[: 0.6284
‘ŠŒÝ^‘ƒGƒ“ƒgƒƒs[(“): 3.146
ðŒî•ñƒGƒ“ƒgƒƒs[(޾гFˆÝ‚ª‚ñœëг|„ –\˜IFƒsƒƒŠ‹ÛŠ´õ): 0.5788
‘ŠŒÝ^–\˜Iî•ñƒGƒ“ƒgƒƒs[(%): 7.905% 92.095
ƒŠƒXƒN”ä‚ÍAˆÝ‚ª‚ñœëг‘Έ݂ª‚ñ”ñœëг‚̔䗦‚ª•êW’c‚𔽉f‚µ‚Ä‚¢‚È‚¢‚½‚ßAƒŠƒXƒN”äŒvŽZ‚É•K—v‚ȗႦ‚Î478/861‚Ì—l‚ÈŒvŽZ‚ɈӖ¡‚ª‚ ‚è‚Ü‚¹‚ñB‚µ‚©‚µAŒvŽZ‚ð‚·‚é‚±‚Æ‚Ío—ˆ‚Ü‚·‚Ì‚ÅAŒã‚É‘¼‚Ì•û–@‚Æ”ä‚ׂ邽‚߂ɔ’l‚ð‹‚߂è‚«‚Ü‚·B‚»‚ÌꇂÍã‹L•ªŠ„•\‚Ìs‚Æ—ñ‚ð“ü‚ê‘Ö‚é‚Ì‚ª•’ʂł·‚̂œü‚ê‘Ö‚¦Ä“x•ªŠ„•\‚ð쬂·‚邯
|
|
ˆÝ‚ª‚ñœëг |
ˆÝ‚ª‚ñ”ñœëг |
¬Œv |
|
ƒsƒƒŠ‹ÛŠ´õ |
478: a |
383: c |
861: n1 |
|
ƒsƒƒŠ‹Û”ñŠ´õ |
33: b |
128: d |
161: n0 |
|
¬Œv |
511: m1 |
511: m0 |
1022: T |
‚±‚Ì•\‚©‚ç‹‚ß‚ç‚ê‚éŽw•W‚ÍAŽŸ‚Ì—l‚ɂȂè‚Ü‚·B‚±‚ÌŒvŽZ•û–@‚ÍŒã‚Ù‚Çq‚ׂ܂·B–{—ˆ‹‚ß‚é‚ׂ«‚łȂ¢Žw•W‚ÍA‘S‘Ì‚ðŠ‡ŒÊ‚ÅˆÍ‚Á‚Ä‚ ‚è‚Ü‚·B
(1.986 < RR = 2.709 < 3.693) (0.326 < RDƒŠƒXƒN· = 0.350 < 0.376)
1.181 < RRD = 1.248 < 1.319 0.176 < RDDƒŠƒXƒN· = 0.186 < 0.0194
3.227 < OR = 4.841 < 7.262
(0.454 < lŒûŠñ—^Š„‡PARP”ÇƒŠƒXƒNF–\˜IƒOƒ‹[ƒv = 0.590 < 0.694)
0.083 < lŒûŠñ—^Š„‡PARPD–\˜IƒŠƒXƒNF޾гƒOƒ‹[ƒv = 0.110 < 0.137
‚±‚±‚ÅARR‚ÍƒŠƒXƒN”äARD‚ÍƒŠƒXƒN·ARRD‚͈݂ª‚ñгŽÒ“à‚ł̃sƒƒŠ‹Û‚ÌŠ„‡‚ÆAˆÝ‚ª‚ñ”ñгŽÒ‚È‚¢‚̃sƒƒŠ‹Û‚ÌŠ„‡‚Ì”ä‚ðŽæ‚Á‚½–\˜IƒŠƒXƒN”äARDD‚Í–\˜IƒŠƒXƒN·AOR‚̓IƒbƒY”äAPARP‚ÍŒã‚Ù‚Çà–¾‚·‚élŒûŠñ—^Š„‡APARPD‚ÍŽ¾Š³ƒOƒ‹[ƒv‚ÌlŒûŠñ—^Š„‡‚ð•\‚µ‚Ü‚·B
‚»‚µ‚Ä‚±‚Ì•ªŠ„•\‚Ìî•ñ—ʂ͎Ÿ‚Ì—l‚ɂȂè‚Ü‚·(s‚Æ—ñ‚ð“ü‚ê‘Ö‚¦‚Ü‚µ‚½‚̂Œl‚ª•Ï‚í‚è‚Ü‚·)B
(–\˜IA, ޾гB‚Æ‚µ‚Ä)

‘î•ñƒGƒ“ƒgƒƒs[F1.5779 (A+B)
‚»‚̃f[ƒ^(•ªŠ„•\)‚ª‚ǂ̒ö“x‚Ìî•ñ—Ê‚ðŽ‚Á‚Ä‚¢‚é‚©‚ð•\‚·”’l
•sŠm’è“x‚ªAî•ñ‚𓾂邱‚Ƃɂæ‚Á‚ÄŠm’è‚·‚éꇂ»‚ÌŠm’è‚·‚邽‚߂ɓ¾‚½‚à‚Ì‚ðî•ñ—Ê
‘ŠŒÝî•ñƒGƒ“ƒgƒƒs[F0.04967 (I)
–\˜Iî•ñ‚ÆŽ¾•aî•ñ‚ÌŠÖ˜A‚Ì‹‚³‚ð•\‚·”’l
€–ÚŽ¾Š³î•ñ‚ª•ª‚©‚邱‚Æ‚ÅA‚ǂ̒ö“x€–Ú–\˜Iî•ñ‚ª‚ǂ̒ö“x‚í‚©‚é‚©‚ð•\‚·”’l
޾гî•ñƒGƒ“ƒgƒƒs[F1.000 (B)
‘ŠŒÝ/‘ƒGƒ“ƒgƒƒs[F3.1463% (I/(A+B))
‘î•ñƒGƒ“ƒgƒƒs[‚Éè‚߂鑊ŒÝƒGƒ“ƒgƒƒs[‚ÌŠ„‡
ŠÖ˜A‚Ì‹‚³‚ª‘S‘Ìî•ñ—Ê‚Éè‚߂銄‡
ðŒî•ñƒGƒ“ƒgƒƒs[F0.9503 (I/A: A->I)
޾гî•ñ‚ð’m‚½Œã‚Ì‘Sî•ñ‚Ì95%‚ª–\˜Iî•ñ‚Å‚ ‚邱‚Æ‚ðˆÓ–¡‚µ‚Ü‚·B
‘ŠŒÝ/޾гî•ñƒGƒ“ƒgƒƒs[F4.967% (I)/(B) 95.0329%
–\˜Iî•ñ‚É‚æ‚Á‚Ä“¾‚ç‚ê‚½Ž¾Š³î•ñ‚ª‘S޾гî•ñ‚̉½%‚Å‚ ‚é‚©‚ð•\‚µ‚Ü‚·B
‚æ‚èÚ‚µ‚¢î•ñ‚Íg•ªŠ„•\(‹ôŒ»•\)‚Æî•ñ—Êh‚ðŽQÆ‚µ‚Ä‚‚¾‚³‚¢B
‚±‚̂悤‚ÈŒ`‚É‚·‚邯‰uŠw‚ÅŽg‚í‚ê‚é—lX‚ÈŽw•W‚ªŒvŽZ‰Â”\‚ƂȂè‚Ü‚·B
ŽÀÛ‚±‚̘_•¶‚Å‚ÍAPopulation attributable fraction (PAF) ‚ðƒIƒbƒY”ä‚ÅŽg‚Á‚Ä‚¢‚Ü‚·B–{—ˆ‚±‚ê‚ÍAƒŠƒXƒN”ä‚ÌŽw•W‚Å‚·‚Ì‚ÅA‚»‚Ì‹‚ß•û‚ɉˆ‚Á‚Ä‚¢ŒvŽZ‚µ‚Ă݂܂·B5)
PAF=lŒûŠñ—^Š„‡‚ÍA—lX‚È–¼‘O‚ª•t‚¢‚Ä‚¨‚èAlŒûŠñ—^ŠëŒ¯Š„‡iPopulation Attributable Risk Proportion: PARPj‚ªˆê”Ê“I‚Ȃ悤‚Å‚·‚Ì‚ÅA‚±‚Ìà–¾‚Ì’†‚ł͂»‚Ì—ªŒêPARP‚Æ‚µ‚Ü‚·B‚Ù‚©‚É‚à@lŒûŠñ—^Š„‡ W’cŠñ—^ŠëŒ¯Š„‡ W’cŠñ—^Š„‡ lŒûŠñ—^ŠëŒ¯•ª‰æiPopulation Attributable Risk FractionjlŒûŠñ—^•ª‰æ@“™‚Æ‚¢‚í‚ê‚邿‚¤‚Å‚·B
‚±‚ê‚ÍA@lŒû‘S‘̗̂¦‚Ì—vˆö”ñ”˜˜IŒQ‚Ì—¦‚©‚ç‚Ì‘‰Á•ª‚ªAlŒû‘S‘̗̂¦‚Éè‚߂銄‡‚ð•\‚µ‚Ü‚·B@Š„‡i•ª‰æj‚ð“i~100j‚Å•\‚·ê‡iPopulation Attribute Risk Percentj‚à‚ ‚è‚Ü‚·B
‹ï‘Ì“I‚ÉŽŸ‚Ì•\(æ‚قǂ̕\)‚Åà–¾AŒvŽZ‚ð‚µ‚Ü‚·B
|
|
ˆÝ‚ª‚ñœëг |
ˆÝ‚ª‚ñ”ñœëг |
¬Œv |
|
ƒsƒƒŠ‹ÛŠ´õ |
478: a |
383: c |
861: n1 |
|
ƒsƒƒŠ‹Û”ñŠ´õ |
33: b |
128: d |
161: n0 |
|
¬Œv |
511: m1 |
511: m0 |
1022: T |
ŽŸ‚̒蔂ð’è‹`‚µ‚Ä‚¨‚«‚Ü‚·B
R1 = a/n1; R0 = b/n0; R = m1/T; P = n1/T; Pf = a/m1;
‚»‚µ‚ÄA—vˆö”ñ–\˜IŒQ(‚±‚Ì•\‚ł̖\˜I‚Ƃ̓sƒƒŠ‹ÛŠ´õ‚Ì‚±‚Ƃł·)‚Ì—¦‚©‚ç‚ÌlŒû‘S‘̂Ɨ¦‚Ì‘•ª‚ÍAR – R0@‚Å•\‚³‚ê‚Ü‚·B‚»‚µ‚Ä‚»‚ê‚ÌlŒû‘S‘̗̂¦‚Éè‚߂銄‡‚Å‚·‚Ì‚ÅA(R – R0)/R‚ªPARP‚ƂȂè‚Ü‚·BŒãX‚ׂ̈ɕό`‚µ‚Ä‚¨‚«‚Ü‚·B
PARP = (R – R0) / R
= 1 – R0 / R
= P(RR – 1) / { P(RR – 1) + 1}
= Pf(RR-1) / RR
= Pf(R1-R0) / R1
‚±‚±‚ÅRR (ƒŠƒXƒN”ä) = R1/R0 = (a/n1) / (b/n0)CR1CR0CRCPCPf ‚ÍA‚»‚ꂼ‚êã‚É’è‹`‚µ‚½’l‚Æ‚µ‚Ü‚·B
M—Š‹æŠÔ‚͘_•¶5) ‚ÉŠî‚«A
PARPL(‰ºŒÀ) = (R – R0)/R = P(RRL – 1)/{ P(RRL – 1) + 1}
PARPL(ãŒÀ) = (R – R0)/R = P(RRH – 1)/{ P(RRH – 1) + 1}
‚±‚±‚ÅARRLARRH‚Í‚»‚ꂼ‚ꃊƒXƒN”äRR‚̉ºŒÀAãŒÀ‚Æ‚µ‚Ü‚·B
‚ ‚Æ‚ÍA‚±‚ê‚ð‘ã“ü‚µ‚ÄŒvŽZ‚·‚邯A
PARPH = 0.454 < PARP = 0.590 < PARPH =0.694
‚‚܂èAƒsƒƒŠ‹Û‚ÌŠ´õ‚Æ‚¢‚¤—vˆö‚ª‚È‚Á‚©‚Á‚½‚Æ‚·‚邯ˆÝ‚ª‚ñ‚̜늳‚Ì59%‚ª‚È‚‚È‚é‚Æ‚¢‚¤‚±‚Ƃł·B‚±‚ê‚͔팱ŽÒ‚̃sƒƒŠ‹ÛŠ´õ—¦‚ª‚‚¢(ˆÝ‚ª‚ñœëгƒsƒƒŠ‹ÛŠ´õ—¦478/511 = 0.9354ˆÝ‚ª‚ñ”ñœëгƒsƒƒŠ‹ÛŠ´õ—¦ 383/511 = 0.7495)ˆ×‚©‚È‚è‰e‹¿‚ª‘å‚«‚‚È‚Á‚Ä‚¢‚Ü‚·BŠ´õ—¦‚ª‰º‚ª‚ê‚Ήe‹¿“x‚͉º‚ª‚è‚Ü‚·‚̂ł»‚Ì‚ ‚½‚è‚ÌlŽ@‚ðŒã‚Ù‚Ç‚µ‚Ü‚·B
’ÇÕ•êW’c85394–¼‚ª‚±‚Ì–{—ˆ‚Ì•êW’c‚Å‚»‚Ì’†‚Ì1681–¼‚ªˆÝ‚ª‚ñ‚ɜ늳‚µ‚½‚Ì‚ª–{—ˆ‚Ì󋵂ł·‚ªA1681–¼‚©‚ç511–¼‚ð’Šo‚µ‚Ä‚¢‚Ü‚·‚Ì‚Ål—¶‚·‚ׂ«•êW’c‚Í85394x511/1681 = 25958–¼‚ð•êW’c‚Æ‚µ‚Ü‚·B‚±‚ê‚Í511–¼‚ª1681–¼‚©‚烉ƒ“ƒ_ƒ€‚É’Šo‚³‚ꂽꇂɳ‚µ‚¢‚̂ł·‚ªAî•ñ‚ª‚È‚¢‚½‚ß‚±‚̉¼’è‚ʼnðÍ‚ð‚µ‚Ä‚Ý‚ÄŒã‚Ù‚ÇŒŸ“¢‚µ‚Ă݂邱‚Ƃɂµ‚Ü‚·B
‘Oq‚µ‚½——R‚Å‚±‚ÌƒŠƒXƒN”ä‚ð–{—ˆ’¼Ú‹‚߂邱‚Ƃ͂ł«‚Ü‚¹‚ñB‚µ‚©‚µARRD:–\˜IƒŠƒXƒN”ä‚Ì478/511 ‘Î383/511‚Ì”ä‚ÍA³‚µ‚¢‚à‚̂łµ‚½A‚±‚̔䂪•êW’c‚©‚烉ƒ“ƒ_ƒ€‚ɃTƒ“ƒvƒ‹‚³‚ꂽ‚à‚̂ł ‚é‚È‚ç‚ÎA•êW’c‚É“–‚Ă͂߂»‚Ì”‚ð‚à‚Æ‚ßA•ªŠ„•\‚ð쬂·‚邱‚Æ‚ªo—ˆ‚Ü‚·B‚±‚¿‚ç‚Ì•û‚ª–{—ˆ‚È‚³‚ê‚é‚ׂ«•û–@‚Æl‚¦‚ç‚ê‚Ü‚·B‚»‚µ‚ÄA•êW’c‚ðŽg‚¢ŒvŽZ‚ª‰Â”\‚ƂȂè‚Ü‚·BˆÈ‰º‚»‚ê‚ðŒvŽZ‚µ‚»‚Ì’l‚ð”ä‚ׂĂ݂½‚¢‚ÆŽv‚¢‚Ü‚·B
ˆÝ‚ª‚ñœëгA”ñœëг‚ÌlX‚̃sƒƒŠ‹ÛŠ´õ—¦‚ª‚±‚̃Tƒ“ƒvƒ‹ƒf[ƒ^‚Å•\‚³‚¹‚邯‚·‚邯A‚‚܂èA‰º‚ÌŠ´õ—¦‚ª•êW’c‚łೂµ‚¢‚Æ‚·‚邯A‚Ü‚½–¾Šm‚ɂ̓Tƒ“ƒvƒ‹•û–@‚ª‹LÚ‚³‚ê‚Ä‚¢‚Ü‚¹‚ñ‚ª—‰ð‚Å‚«‚éŒÀ‚è‚É‚¨‚¢‚Ăͳ‚µ‚¢‚Æ„‘ª‚³‚ê‚Ü‚·B
ˆÝ‚ª‚ñœëгƒsƒƒŠ‹ÛŠ´õ—¦@ 478/511 = 0.9354
ˆÝ‚ª‚ñ”ñœëгƒsƒƒŠ‹ÛŠ´õ—¦@383/511 = 0.7495
ƒTƒ“ƒvƒ‹”3ƒPƒ^‚Å‚·‚̂ł±‚êˆÈã‚Ì”ä‚̸“x‚Í‹‚ß‚ç‚ê‚Ü‚¹‚ñB
‚±‚ÌŠ„‡‚ð‘S’ÇÕW’c25958‚É“–‚Ä‚Í‚ß‚é‚ÆA‰º‚Ì—l‚È•ªŠ„•\‚ƂȂè‚Ü‚·B‚»‚µ‚ÄA‚±‚ê‚Í•êW’c‚»‚Ì‚à‚̂ł·‚©‚ç‚»‚ꂼ‚ê‚̔䗦‚ÍA³Šm‚Å‚ ‚èAƒŠƒXƒN”ä‚ðŒvŽZ‚·‚邱‚Æ‚ªo—ˆ‚Ü‚·
ƒsƒƒŠ‹ÛŠ´õ—L–³(–\˜I)‚É‚æ‚éˆÝ‚ª‚ñœëг—L–³(”ÇAƒAƒEƒgƒJƒ€)‚ð’m‚肽‚¢‚±‚ƂɂȂè‚Ü‚·‚Ì‚ÅAƒsƒƒŠ‹ÛŠ´õ‚ð–\˜I‚Æ‚µAˆÝ‚ª‚ñœëг‚ðƒAƒEƒgƒJƒ€‚Æ‚µ‚½•ªŠ„•\‚ð쬂·‚é‚ÆŽŸ‚Ì—l‚ɂȂè‚Ü‚·B
|
|
ˆÝ‚ª‚ñœëг |
ˆÝ‚ª‚ñ”ñœëг |
¬Œv |
|
ƒsƒƒŠ‹ÛŠ´õ |
478 :a |
19073 :c |
19551 :n1 |
|
ƒsƒƒŠ‹Û”ñŠ´õ |
33 :b |
6374 :d |
6407 :n0 |
|
¬Œv |
511: m1 |
25447: m0 |
25958 :T |
‚±‚Ì•\‚©‚ç‹‚ß‚ç‚ê‚éŽw•W‚Í
3.340 < RR = 4.747 < 6.747 0.019 < RD = 0.019 < 0.019
1.219 < RRD = 1.248 < 1.278 0.182 < RDD = 0.186 < 0.190
3.398 < OR = 4.841 < 6.896
0.638 < PARP = 0.738 < 0.812 0.004 < PARPD = 0.005 < 0.005
0.660 < PARPOR = 0.742 < 0.800 0.017 < PARPDOR = 0.019 < 0.021
‘î•ñ—ʃGƒ“ƒgƒƒs[F0.9425 (Max2.0)
‘ŠŒÝî•ñƒGƒ“ƒgƒƒs[: 0.0033485
޾гî•ñƒGƒ“ƒgƒƒs[: 0.1397
‘ŠŒÝ^‘ƒGƒ“ƒgƒƒs[(%): 0.3553
ðŒî•ñƒGƒ“ƒgƒƒs[(–\˜I|„޾г): 0.1363
‘ŠŒÝ^޾гî•ñƒGƒ“ƒgƒƒs[(%): 2.397%
---------------------------------------------------------------------------------------------
ƒŠƒXƒN”ä
RR = (a/n1)/(b/n0) = (478/19073)/(33/6374) = 4.747
M—Š‹æŠÔ(CI)@
CI = RR * exp(}1.96xã(1/a – 1/n1) – (1/b – 1/n0))
= RR * exp(}1.96xã(c/(a*n1) – d/(b*n0))
= RR * exp(}1.96xã(19073/(478*19551) – 6374/(33*6407))
= RR * exp(}0.3516) =3.340/6.747
‹æŠÔ„’è RR 3.340 < RR=4.747 < 6.747
ƒŠƒXƒN·
RD= a/n1 – b/n0 = 478/19551 – 33/6407 = 0.019
CI = RD x exp(}1.96xã(ac/n13 + bd/n03))
= 0.019* exp(}1.96xã(478x19073/195513+33x6374/64073))
=0.019* exp(}0.0028)
=0.0019/0.0019
ƒIƒbƒY”ä
OR = (478x6374)/(33x19073) = 4.841
M—Š‹æŠÔ@
CI = OR* exp(}1.96xã(1/a + 1/b + 1/c + 1/d))
exp(}1.96xã(1/478 + 1/33 + 1/19073 + 1/6374))
= exp(}0.3539) = 3.398/6.896
‹æŠÔ„’è OR 3.398 < OR=4.841 < 6.896
----------------------------------------------------------------------------------------------------------
‚±‚ÌƒŠƒXƒN”ä‚ÍA‚©‚È‚èƒIƒbƒY”ä‚ɋ߂¢’l‚ƂȂè‚Ü‚·B‚»‚Ì——R‚͜늳—¦‚ª’á‚¢‚©‚ç‚Å‚·Bœëг—¦‚ª’Ⴂꇂ̓IƒbƒY”ä‚ÅƒŠƒXƒN”ä‚Ì‘ã—p‚ð‚·‚é‚±‚Æ‚ªo—ˆ‚Ü‚·B‚½‚¾‚µA‚¢‚‚ào—ˆ‚é‚킯‚ł͂ ‚è‚Ü‚¹‚ñB‚»‚̧–ñ‚ð—‰ð‚µ‚Ä‹@ŠB“I‚ł͂ȂAˆÓ}‚ðŽ‚Á‚ÄŽg—p‚·‚邿‚¤‚É‚·‚é‚Ì‚ª‚æ‚¢‚Å‚µ‚傤BŒ¾‚¢Š·‚¦‚ê‚ÎAƒIƒbƒY”ä‚͜늳—¦‚ª0‚Ìê‡ƒŠƒXƒN”䂯“™‚µ‚‚È‚è‚Ü‚·B‚½‚¾‚µA•\‚ÌŠe—“‚ª•êW’c‚Ì”ä‚ð–ž‚½‚µ‚Ä‚¢‚éê‡‚ÍƒŠƒXƒN”ä‚ð’¼ÚŒvŽZ‚·‚邱‚Æ‚ªo—ˆ‚Ü‚·B
‚±‚ê‚ç‚ÌŒ‹‰Ê‚ð‘O‚Ì511–¼‚Ì’l”äŠr‚µ‚Ă݂܂·B
|
|
ƒŠƒXƒN”ä (ƒsƒƒŠ‹ÛŠ´õ) |
ƒŠƒXƒN· (ƒsƒƒŠ‹ÛŠ´õ) |
ƒŠƒXƒN”ä (ˆÝ‚ª‚ñœëг) |
ƒŠƒXƒN· (ˆÝ‚ª‚ñœëг) |
ƒIƒbƒY”ä |
|
•êW’c |
3.340 < 4.747 < 6.747 |
0.019 < 0.019 < 0.019 |
1.219 < 1.248 < 1.278 |
0.182 < 0.186 < 0.190 |
3.398 < 4.841 < 6.896 |
|
511ƒTƒ“ƒvƒ‹ |
1.986 < 2.709 < 3.693 |
0.326 < 0.350 < 0.376 |
1.181 < 1.248 < 1.319 |
0.176 < 0.186 < 0.0194 |
3.227 < 4.841 < 7.262 |
ƒŠƒXƒN”ä‚Í4.747‚Æ2.709ƒIƒbƒY”ä‚Í4.841‚Æ4.841‚Å‚·BƒŠƒXƒN”ä‚Í‚©‚È‚èˆá‚¢‚Ü‚·‚ªAƒIƒbƒY”ä‚Í“¯‚¶‚Å‚·B95%M—Š‹æŠÔ‚ª‹·‚Ü‚Á‚Ä‚¢‚é‚Ì‚ÍAƒTƒ“ƒvƒ‹”‚ª‘‚¦‚ê‚΂»‚Ì’l4.841‚ÌŠm“x‚ª‚‚‚Ȃ邩‚ç‚Å‚·B‚»‚µ‚ÄA‹C‚ª‚‚‚Æ‚ÍAƒIƒbƒY”ä(4.841)‚ª•êW’c‚Å‹‚ß‚½ƒŠƒXƒN”ä(4.774)‚É‚©‚È‚è‹ß‚¢‚±‚Ƃł·Bæ‚Ù‚Çà–¾‚µ‚½‚悤‚ÉAƒIƒbƒY”ä‚Í‚»‚̜늳—¦‚ª¬‚³‚¢Žž(¡‚Ìꇈ݂ª‚ñ‚̜늳—¦‚Í511/25958 = 0.0197:1.79“)‚ÍAƒIƒbƒY”ä‚ÍƒŠƒXƒN”ä‚Ì‘ã—p‚Æ‚µ‚ÄŽg‚¤‚±‚Æ‚ªo—ˆ‚Ü‚·B‚½‚¾A‚P“’ö“x‚̜늳—¦‚ÅAŒë·‚Í(4.747 – 4.841)/4.747 = 0.0198, 1.98%’ö“x‚Å‚·B“_„’è‚ł͂Ȃ‚±‚Ì—á‚̂悤‚É‹æŠÔ„’è‚ð‚µ‚Ä‚»‚ÌM—Š‹æŠÔ‚ðŠî‚É‹c˜_‚·‚é‚Ì‚ª‚æ‚¢•û–@‚Å‚·B
ƒIƒbƒY”ä‚©‚猾‚¦‚邱‚Æ‚ÍAƒsƒƒŠ‹ÛŠ´õ‚݂̈ª‚ñœëг‚ւ̉e‹¿‚̓sƒƒŠ‹Û”ñŠ´õ‚É”ä‚×4.841”{‚̊댯—¦‚Æ‚¢‚¤‚±‚Ƃł·B‚µ‚©‚µA‚±‚ê‚͂ǂ̒ö“x‚ÌŠ„‡‚ʼne‹¿‚·‚é‚Ì‚©‚í‚©‚è‚Ü‚¹‚ñBâ‘Εp“x‚ª’m‚肽‚¢‚Æ‚±‚ë‚Å‚·BŒãŽÒƒŠƒXƒN”ä4.747‹y‚ÑƒŠƒXƒN·0.019‚©‚ç‚Í‚»‚ꂪŒ©‚ÄŽæ‚ê‚Ü‚·BƒsƒƒŠ‹Û”ñŠ´õ‚݂̈ª‚ñœëгЄ‡33 /6407‚ª 478 /19551‚ɂȂé‚̂ł·B‚»‚ꂼ‚ê1000l‚ ‚½‚è‚Ì’l‚É‹KŠi‰»‚µ‚Ü‚·‚ÆA5.1506/1000 ‚Æ24.4489/1000‚ɂȂèA1000l‚ ‚½‚è5.2–¼’ö“x‚ÌƒŠƒXƒN‚ª24.3–¼’ö“x‚É‚È‚é‚Æ‚¢‚¤‚±‚Ƃł·B‚‚܂è1000l‚ ‚½‚è19–¼(1.9%)‘‚¦‚éAŒ¾‚¢Š·‚¦‚ê‚Î1–¼‚̃sƒƒŠ‹Û‚É‚æ‚éˆÝ‚ª‚ñ‚̜늳‚𓾂é‚̂ɂÍ53–¼‚Ì’²¸‚ª•K—v‚¾‚Æ‚¢‚¤‚±‚Ƃł·B
‚±‚ÌŒ‹‰Ê‚Í15”N‚Ì’ÇÕ’²¸‚ÅA‘O‚݂̈ª‚ñ‚̜늳—¦50Î’j«‚Å1.5%’ö“x(—«‚Ì•û‚ÍA0.8%)‚Æ”ä‚×‚Ä‚à‚»‚ê‚Ù‚Ç—£‚ꂽ’l‚ł͂ ‚è‚Ü‚¹‚ñB
‘Š‘ÎƒŠƒXƒN‚ÌlŽ@‚©‚ç‚·‚邯ŽÀÛ‚É‘‚¦‚éŠëŒ¯“x‚Í1.9%’ö“x‚Å‚µ‚½Bˆê•ûî•ñ—ʂ͎Ÿ‚Ì—l‚ɂȂè‚Ü‚·B‘î•ñ—ʃGƒ“ƒgƒƒs[‚ª‚»‚ꂼ‚ê‚Ì•ªŠ„•\‚ÌŽ‚Âî•ñ—ʂł·B‚±‚ê‚ÍAˆê”Ô‹»–¡‚ª‚ ‚éƒsƒƒŠ‹ÛŠ´õ‚©‚‚ª‚ñœëг‚Ìî•ñ‚ª‚ǂ̒ö“x‘S‘Ì‚Ìî•ñ‚Ì’†‚Åè‚߂邩‚Ìî•ñ‚Å‚·‚Ì‚ÅAƒTƒ“ƒvƒ‹ƒf[ƒ^‚Ì•û‚ª‘å‚«‚¢‚̂͗‚É‚©‚È‚Á‚Ä‚¢‚Ü‚·‚ªAŽÀÛ‚É—\–h‚ÉŽg‚¤‚Æ‚·‚邯•êW’c‚ÌŠ„‡‚ð³Šm‚É•\‚µ‚Ä‚¢‚È‚¢‚à‚Ì‚ðÌ—p‚·‚邿‚è‚ÍA•êW’c‚ƃTƒ“ƒvƒ‹‚ÌŒ‹‰Ê‚ª‚»‚ê‚قǕςí‚炸(Œ³X“¯‚¶Œ¤‹†‚Ȃ̂Å)‚©‚ÂAƒTƒ“ƒvƒ‹‚Ì•û‚ªX‘å‚«‚A‚Ü‚½1.9%‚É‚à‹ß‚¢’l‚ð‘I‚Ԃׂ«‚Æl‚¦‚ç‚ê‚Ü‚·B‚»‚̂悤‚Él‚¦‚邯AƒsƒƒŠ‹ÛŠ´õî•ñ‚Æ‚ª‚ñœëгî•ñ‚Ì‘ŠŒÝì—p‚̑傫‚³‚ð•\‚·A‘ŠŒÝî•ñƒGƒ“ƒgƒƒs[‚©A‚»‚Ì‘ŠŒÝî•ñƒGƒ“ƒgƒƒs[‚ª‘S޾гî•ñ‚Éè‚߂銄‡‚ð•\‚·‘ŠŒÝ/޾гî•ñƒGƒ“ƒgƒƒs[‚ªŽg‚¦‚»‚¤‚Å‚·B‚±‚Ì‚ ‚½‚è‚ÍŒã‚Ù‚Ç‘Sƒf[ƒ^‚ª‚»‚ë‚Á‚½‚Æ‚±‚ë‚ÅÄl‚µ‚Ü‚·B
|
|
‘î•ñ—Ê ƒGƒ“ƒgƒƒs[ |
‘ŠŒÝî•ñ ƒGƒ“ƒgƒƒs[ |
޾гî•ñ ƒGƒ“ƒgƒƒs[ |
ðŒî•ñ ƒGƒ“ƒgƒƒs[ (–\˜I->޾г) |
‘ŠŒÝ^ ‘î•ñ ƒGƒ“ƒgƒƒs[(%) |
‘ŠŒÝ/޾г î•ñ ƒGƒ“ƒgƒƒs[(%) |
|
•êW’c |
0.9425 |
0.00335 |
0.1397 |
0.1363 |
0.355% |
2.397% |
|
511 ƒTƒ“ƒvƒ‹ |
1.578 |
0.0497 |
1.00 |
0.950 |
3.146% |
4.967% |
•êW’c‚ւ̉e‹¿‚ðl‚¦‚é‚Ì‚ÉƒŠƒXƒN·‚ÆlŒûŠñ—^ŠëŒ¯Š„‡‚Ì‚à‚Æ‚É”äŠr‚µ‚Ă݂½‚¢‚ÆŽv‚¢‚Ü‚·B
ƒŠƒXƒN·‚Í@0.019 < 0.019 < 0.019@‚Å‚·BƒŠƒXƒN”ä‚Í4.8”{‚Å‚µ‚½‚ªAƒŠƒXƒN·‚Í0.019A1.9%‚Å‚·B@‚‚܂èAƒsƒƒŠ‹ÛŠ´õ‚ªŒ´ˆö‚Å‚ ‚鎞‚É•êW’c‚݂̈ª‚ñœëг‚ÉŠñ—^‚·‚郊ƒXƒN‚Í1.9%‚Æ‚¢‚¤‚±‚Ƃł·B
ˆê•ûlŒûŠñ—^ŠëŒ¯Š„‡‚ÍA0.638 < PARP = 0.738 < 0.812@‚Å‚·B‚±‚ê‚ÍA
(R – R0) / R = (m1/T – b/n0) / (m1/T)
= {(ˆÝ‚ª‚ñœëг”/‘”) - (ƒsƒƒŠ”ñ‹ÛŠ´õ”’†‚݂̈ª‚ñœëгŽÒ/ƒsƒƒŠ”ñ‹ÛŠ´õ”)}
/ (ˆÝ‚ª‚ñœëг”/‘”)
‚Å‚·‚Ì‚ÅAƒsƒƒŠ‹ÛŠ´õ‚É‚æ‚Á‚Ä•êW’c‚Ɉ݂ª‚ñгŽÒ‚ª‘‚¦‚½Š„‡‚Ì•êW’c‚݂̈ª‚ñгŽÒ‚ÌŠ„‡‚ɑ΂·‚é”ä‚Å‚·B‚‚܂èˆÝ‚ª‚ñгŽÒ‚ªƒsƒƒŠ‹ÛŠ´õ‚É‚æ‚Á‚Ä‘‚¦‚½Š„‡‚Å‚·‚Ì‚ÅA‹t‚ÉŒ¾‚¦‚΃sƒƒŠ‹ÛŠ´õ‚ª‚È‚‚È‚ê‚Έ݂ª‚ñгŽÒ”‚ª‚±‚ꂾ‚¯‚ÌŠ„‡Œ¸‚邱‚Æ‚ðˆÓ–¡‚µ‚Ü‚·B
‚±‚ꂪA0.738F73.8%‚Å‚·‚Ì‚ÅAˆÝ‚ª‚ñгŽÒ‚Ì73.8%‚̓sƒƒŠ‹ÛŠ´õ‚É‚æ‚邯‚à‚¢‚¦‚邱‚ƂɂȂè‚Ü‚·B
—\–h‚Æ‚¢‚¤ˆÓ–¡‚Ål‚¦‚Ü‚·‚ÆA‚»‚ÌŒø‰Ê‚ÍlŒû‚Ì1.9%‚É—LŒø‚Å‚ ‚邱‚ƂɂȂè‚Ü‚·B‚‚܂èAŽc‚è‚Ì98.1“‚̓sƒƒŠ‹ÛŠ´õ‚Ì—L–³‚͈݂ª‚ñ‚̜늳‚ÉŠÖ˜A‚ª‚È‚¢‚Æ‚¢‚¤‚±‚Ƃɂà‚È‚è‚Ü‚·B
‚»‚µ‚ÄA‚±‚ê‚͈݂ª‚ñœëгƒsƒƒŠ‹ÛŠ´õ—¦@0.9354AˆÝ‚ª‚ñ”ñœëгƒsƒƒŠ‹ÛŠ´õ—¦0.7495‚Ìꇂ̌‹‰Ê‚Å‚·B‚»‚ÌŠ´õ—¦‚ª‰º‚ª‚ê‚΂»‚Ì—\–hŒø‰Ê‚Í‚³‚ç‚ɉº‚ª‚邯l‚¦‚ç‚ê‚Ü‚·‚ªA‚»‚Ì”Žš‚»‚Ì‚à‚Ì‚ª‘å‚«‚‚È‚¢‚±‚ÆA‚Ü‚½Š´õ—¦‚ª‰º‚ª‚Á‚½•êW’c‚ł̗LŒø‚ÈŒ‹‰Ê‚ªŒ©“–‚½‚ç‚È‚¢‚±‚Æ‚ðl‚¦Œ»ó‚Í‚±‚Ì’l‚ðƒx[ƒX‚Él‚¦‚½‚¢‚ÆŽv‚¢‚Ü‚·B
ŽŸ‚ÉŒð—‚ɂ‚¢‚ÄŒŸ“¢‚ð‚µ‚Ä‚Ý‚Ü‚µ‚傤BŒð—(confounding)‚Æ‚ÍA‰B‚ꂽŒ‹‰Ê(Outcome)‚ɉe‹¿‚·‚é•Ï”‚Ì‚±‚Ƃł·B‚±‚Ì—á‚Å‚ ‚°‚é‚È‚ç‚ÎA—Ⴆ‚Ϋ•ʂƂ©”N—î‚Æ‚©‚ªƒsƒƒŠ‹ÛŠ´õ‚ƈ݂ª‚ñœëг‚ÌŠ„‡‚ÉŠÖ˜A‚µ‚Ä‚¢‚È‚¢‚©‚Æ‚¢‚¤‚±‚Ƃł·Bã‚É‹‚ß‚½Œ‹‰Ê‚ðŠî‚É‚»‚Ì—L–³‚ðŒŸ“¢‚µ‚Ă݂܂µ‚傤B‚»‚Ì•û–@‚ÍA«•Ê‚â”N—î‚É‚æ‚茋‰Ê‚ðƒOƒ‹[ƒv•ª‚¯(‘w‰»‚Æ‚¢‚¢‚Ü‚·)‚µ‚Ä‚»‚ÌŠeƒOƒ‹[ƒv‚ł̕ªŠ„•\‚ðŠî‚ɃIƒbƒY”äOR^ƒŠƒXƒN”äRR‚ð‹‚߂Ă݂ȳ‚̂‚܂èƒOƒ‹[ƒvˆê‚‚Ìꇂ̌‹‰Ê‚Æ”äŠr‚µ‚Ă݂邱‚Ƃɂµ‚Ü‚·B‚±‚ê‚ÍAMantel-Haenszel •â³(adjustment)‚ðŽg‚Á‚Ä‹‚߂邱‚Æ‚ªo—ˆ‚Ü‚·BƒƒWƒXƒeƒBƒbƒN‰ñ‹A•ªÍ‚ð“K‰ž‚µAƒIƒbƒY”ä‚ð’¼Ú‹‚߂邱‚Æ‚ª‚æ‚‚È‚³‚ê‚Ü‚·‚ªAã‚Ì—á‚ðŒ©‚Ä‚àTd‚ȑΉž‚ª•K—v‚È‚±‚Æ‚ª•ª‚©‚è‚Ü‚·‚̂őw•ʉð͂ł»‚Ì‚ ‚½‚è‚ð’T‚Á‚Ă݂܂·B
‚½‚¾‚µA‚±‚̕Ⳃ͊e‘w‚̃IƒbƒY”ä‚Í‘w‚É‚æ‚炸ˆê’è‚Å‚ ‚邯‚̉¼’è‚Ì‚à‚Æ‚É‹¤’Ê‚·‚éƒIƒbƒY”ä‚ð‹‚ß‚é‚à‚̂ł·B‚±‚ê‚ÆŽ—‚½‚à‚Ì‚ÉA•W€‰»‚ð—p‚¢‚é•û–@‚ª‚ ‚èASMR(Standardized Morbidity/Mortality Ratio)‚ƌĂ΂ê‚éB‚±‚ê‚͈ê”ʂɌø‰Ê‚ÌŽ¿‚‚܂èAƒvƒ‰ƒXì—p‚©ƒ}ƒCƒiƒXì—p‚©‚͕ςí‚ç‚È‚¢‚ª‚»‚ÌŒø‰Ê‚̗ʂ͊e‘w‚É‚¨‚¢‚Ä·‚ª‚ ‚éꇂÍMantel-Haenszel •Ⳃª—p‚¢‚ç‚êAŒø‰Ê‚ÌŽ¿‚ª•Ï‚í‚Á‚Ä‚µ‚Ü‚·ê‡‚ÍSMR‚ª—p‚¢‚ç‚ê‚éB‚‚܂èAŒ¾‚¢Š·‚¦‚ê‚ÎAŠe‘w‚ÅŠÏŽ@‚³‚ꂽ”ä‚ɑ傫‚ȈႢ‚ª‚È‚¢ê‡‚ÍA—¼ŽÒ‚Í—ÞŽ—‚Ì’l‚ðŽ¦‚·BŠe‘w‚Ì”ä‚ɑ傫‚ˆÙ‚È‚éꇂ͗¼ŽÒ‚Ì’l‚͈قȂèASMR‚ðÌ—p‚·‚ׂ«‚Å‚ ‚éB‚½‚¾A‚ǂ̂‚ç‚¢·‚ª‚ ‚ê‚ÎŽ¿“I‚ȕω»‚Æl‚¦‚é‚©‚ÍŠÈ’P‚ł͂ ‚è‚Ü‚¹‚ñB‚»‚±‚ÅA‚Æ‚è‚ ‚¦‚¸Še‘w‚Ì’l‚ÆMantel-Haenszel •Ⳃ̒l‚ð‹‚߂Ă݂éB
‚±‚Ì•â³‚ð‚µ‚½ê‡‚ÉA
RRoriginal = RRMH, ORoriginal = ORMH
‚Å‚ ‚ê‚΂»‚Ì—vˆö‚ÍŒð—‚ł͂Ȃ¢‚Æ‚µA
RRoriginal ‚ RRMH, ORoriginal ‚ ORMH
‚̂Ƃ«‚É‚Í(ˆê”Ê“I‚É‚Í10%ˆÈã‚Ì·‚ª‚ ‚éê‡)Œð—ˆöŽq‚Æ‚³‚ê‚邱‚Æ‚ª‘½‚¢‚悤‚Å‚·B‹ï‘Ì“I‚É‹‚߂Ă݂܂µ‚傤B
|
|
ˆÝ‚ª‚ñœëг |
ˆÝ‚ª‚ñ”ñœëг |
¬Œv |
|
ƒsƒƒŠ‹ÛŠ´õ |
478 :a |
19073 :c |
19551 :n1 |
|
ƒsƒƒŠ‹Û”ñŠ´õ |
33 :b |
6374 :d |
6407 :n0 |
|
¬Œv |
511: m1 |
25447: m0 |
25958 :T |
3.340 < RR = 4.747 < 6.747 0.019 < RD = 0.019 < 0.019
1.219 < RRD = 1.248 < 1.278 0.182 < RDD = 0.186 < 0.190
3.398 < OR = 4.841 < 6.896
0.638 < PARP = 0.738 < 0.812 0.004 < PARPD = 0.005 < 0.005
0.660 < PARPOR = 0.742 < 0.800 0.017 < PARPDOR = 0.019 < 0.021
‚±‚ÌŒ‹‰Ê‚ªŒ³‚ɂȂè‚Ü‚·B
«•ʂɂæ‚é•Ⳃ͎Ÿ‚Ì—l‚ɂȂè‚Ü‚·B
’j«46803lA—«50841lAŒv97644‚Å‚µ‚½B‚±‚Ì‚¤‚¿12250–¼‚ª’ÇÕ•s”\‚ƂȂè‚Ü‚µ‚½‚ª‚»‚Ì’j—”䂪•s–¾‚Å‚·B‚»‚±‚ÅA‚±‚̔䂪’ÇÕ‚µ‚½85394–¼‚łଂ藧‚‚Ƃµ‚Ü‚·B40931‚Æ 44463‚ɂȂè‚Ü‚·B‚»‚µ‚ÄA‚±‚Ì‚¤‚¿‚Ì511/1681‚Ì”ä‚É”ä—á‚·‚é25958‚Å‚à”ä—á‚·‚邯‚µ‚Ü‚·B12442‚Æ13516‚ɂȂè‚Ü‚·B‚±‚ê‚͂悂 ‚é”Û’è‚·‚éϋɓI‚È——R‚ª‚È‚¢‚ðÌ—p‚µ‚Ü‚·BŒã‚Ù‚Ç‚»‚ÌŒ‹‰Ê‚ðl‚¦‚Ă݂܂·B
œëг511–¼‚Ì’j—”ä‚ÍA’j«342–¼A—«169–¼‚Å‚·B‚±‚ê‚ÍA•êW’c‚Ì’j—”䂯‚͈á‚Á‚Ä‚¢‚Ü‚·B‚±‚ê‚ÍA’j«‚Ì•û‚ªˆÝ‚ª‚ñ‚ɜ늳‚µ‚â‚·‚¢‚±‚Æ‚ðˆÓ–¡‚µ‚Ä‚¢‚Ü‚·B
‚Ü‚¸«•ʂɂæ‚è‘w‰»‚µ‚½•ªŠ„•\‚ð쬂µ‚Ü‚·B
ˆÝ‚ª‚ñœëгƒsƒƒŠ‹ÛŠ´õ—¦@ 478/511 = 0.9354
ˆÝ‚ª‚ñ”ñœëгƒsƒƒŠ‹ÛŠ´õ—¦@383/511 = 0.7495
¢‚Ì’†‚̃f[ƒ^(Œã‚Ù‚ÇŽQÆ‚µ‚Ü‚·)‚ðŒ©‚Ä‚à‚±‚̔䗦‚ª’j—‚Å·‚ª‚ ‚邯‚Ío‚Ä‚¢‚Ü‚¹‚ñ‚Ì‚ÅA‚»‚ꂼ‚ê‚É‚»‚̂܂ܬ‚è—§‚‚Ƃµ‚Ü‚·B
‚Ü‚½A’j«‚݂̈ª‚ñœëг‚ÍA327–¼A—«‚݂̈ª‚ñœëгŽÒ‚ÍA151–¼‚Å‚·‚̂ł»‚Ì’l‚ðŽg‚¢‚Ü‚·B
|
’j« |
ˆÝ‚ª‚ñœëг |
ˆÝ‚ª‚ñ”ñœëг |
¬Œv |
|
ƒsƒƒŠ‹ÛŠ´õ |
327 :a1 |
9069 :c1 |
9396 :n11 |
|
ƒsƒƒŠ‹Û”ñŠ´õ |
15 : b1 |
3031: d1 |
3046 :n01 |
|
¬Œv |
342 |
12100 |
12442 :T1 |
4.219 < RR = 7.067 < 11.839 0.030 < RD = 0.030 < 0.030
1.244 < RRD = 1.276 < 1.308 0.202 < RDD = 0.207 < 0.211
4.335 < OR = 7.286 < 12.245
0.709 < PARP = 0.821 < PARPH =0.891 0.007 < PARPD = 0.008 < 0.008
‘î•ñ—ʃGƒ“ƒgƒƒs[F0.9785 (Max2.0)
‘ŠŒÝî•ñƒGƒ“ƒgƒƒs[: 0.006077
޾гî•ñƒGƒ“ƒgƒƒs[: 0.1816
‘ŠŒÝ^‘ƒGƒ“ƒgƒƒs[(%): 0.6211
ðŒî•ñƒGƒ“ƒgƒƒs[(ŒŸ¸|„޾г): 0.17555
‘ŠŒÝ^޾гî•ñƒGƒ“ƒgƒƒs[(%): 3.3459%
|
—« |
ˆÝ‚ª‚ñœëг |
ˆÝ‚ª‚ñ”ñœëг |
¬Œv |
|
ƒsƒƒŠ‹ÛŠ´õ |
151 :a2 |
10004 :c2 |
10155: n12 |
|
ƒsƒƒŠ‹Û”ñŠ´õ |
18 :b2 |
3343 :d2 |
3361: n02 |
|
¬Œv |
169 |
13347 |
13516 :T2 |
1.706 < RR = 2.776 < 4.519 0.009 < RD = 0.010 < 0.010
1.131 < RRD = 1.192 < 1.257 0.137 < RDD = 0.144 < 0.151
1.717 < OR = 2.803 < 4.577
0.347 < PARP = 0.572 < 0.726 0.002 < PARPD = 0.002 < 0.003
‘î•ñ—ʃGƒ“ƒgƒƒs[F0.90485 (Max2.0)
‘ŠŒÝî•ñƒGƒ“ƒgƒƒs[: 0.001176
޾гî•ñƒGƒ“ƒgƒƒs[: 0.09697
‘ŠŒÝ^‘ƒGƒ“ƒgƒƒs[(%): 0.1300
ðŒî•ñƒGƒ“ƒgƒƒs[(–\˜I|„޾г): 0.09592
‘ŠŒÝ^޾гî•ñƒGƒ“ƒgƒƒs[(%): 1.213%
‚±‚Ì’j—‚̃Oƒ‹[ƒv‰»(‘w‰»)‚Å‚ÌMH(Mantel-Haenszel)•Ⳃ͎Ÿ‚Ì—l‚ɂȂè‚Ü‚·(ŒvŽZ•û–@‚ÍŒã‚Ù‚ÇŽ¦‚µ‚Ü‚·)B
3.328 < RRMH = 4.732 < 6.728 0.019 < RDMH = 0.019 < 0.019
1.218 < RRMHD = 1.248 < 1.278 0.182 < RDMHD = 0.186 < 0.190
3.387 < ORMH = 4.824 < 6.871
0.637 < PARP = 0.738 < 0.812 0.004 < PARPD = 0.005 < 0.005
‘î•ñ—ʃGƒ“ƒgƒƒs[F0.9425 (Max2.0)
‘ŠŒÝî•ñƒGƒ“ƒgƒƒs[: 0.0033485
޾гî•ñƒGƒ“ƒgƒƒs[: 0.1397
‘ŠŒÝ^‘ƒGƒ“ƒgƒƒs[(%): 0.3553%
ðŒî•ñƒGƒ“ƒgƒƒs[(–\˜I|„޾г): 0.1363
‘ŠŒÝ^޾гî•ñƒGƒ“ƒgƒƒs[(%): 2.397%
‚Ü‚½A•W€‰»‹Z–@‚±‚ê‚ÍA’²®Ž€–S—¦‚ɂ悗p‚¢‚ç‚ê‚é•W€‰»Ž€–S—¦”äSMR(Standardized Mortality Ratio)‚ÉŠî‚•û–@‚ð—p‚¢‚Ü‚·B‚±‚ê‚ÍƒŠƒXƒN”ä‚É“K‰ž‚³‚ê‚Ü‚·‚̂ł»‚Ì’l‚ÍŽŸ‚Ì—l‚ɂȂè‚Ü‚·(ŒvŽZ•û–@‚ÍŒã‚Ù‚ÇŽ¦‚µ‚Ü‚·)B
3.326 < RRSMR = 4.727 < 6.718 0.019 < RDSMR = 0.019 < 0.019
1.196 < RRDSMR = 1.232 < 1.269 0.182 < RDDSMR = 0.186 < 0.190
0.637 < PARP = 0.738 < 0.812 0.004 < PARPD = 0.005 < 0.005
“¯‚¶‚±‚Æ‚ðƒTƒ“ƒvƒ‹ƒf[ƒ^‚É“–‚Ă͂߂Ă݂܂·B«•ʂɂæ‚è‘w‰»‚µ‚½•ªŠ„•\‚ð쬂µ‚Ü‚·B
|
’j« |
ˆÝ‚ª‚ñœëг |
ˆÝ‚ª‚ñ”ñœëг |
¬Œv |
|
ƒsƒƒŠ‹ÛŠ´õ |
327 :a1 |
259 :c1 |
586: n1 |
|
ƒsƒƒŠ‹Û”ñŠ´õ |
15 : b1 |
83: d1 |
98: n0 |
|
¬Œv |
342: m1 |
342: m0 |
684 :T1 |
‚±‚Ì•\‚æ‚èA
2.276 < RR = 3.646 < 5.841 0.373 < RD = 0.405 < 0.439
1.184 < RRD = 1.263 < 1.346 0.189 < RDD = 0.199 < 0.209
3.937 < OR = 6.986 < 12.397
0.522 < PARP = 0.694 < 0.806 0.084 < PARPD = 0.116 < 0.148
‘î•ñ—ʃGƒ“ƒgƒƒs[F1.5296 (Max2.0)
‘ŠŒÝî•ñƒGƒ“ƒgƒƒs[: 0.006315
޾гî•ñƒGƒ“ƒgƒƒs[: 1.000@
‘ŠŒÝ^‘ƒGƒ“ƒgƒƒs[(%): 4.12856
ðŒî•ñƒGƒ“ƒgƒƒs[(–\˜I|„޾г): 0.93685
‘ŠŒÝ^޾гî•ñƒGƒ“ƒgƒƒs[(%): 6.315%
|
—« |
ˆÝ‚ª‚ñœëг |
ˆÝ‚ª‚ñ”ñœëг |
¬Œv |
|
ƒsƒƒŠ‹ÛŠ´õ |
151 :a2 |
124 :c2 |
275: n1 |
|
ƒsƒƒŠ‹Û”ñŠ´õ |
18 :b2 |
45 :d2 |
63: n0 |
|
¬Œv |
169: m1 |
169: m0 |
338 :T2 |
‚±‚Ì•\‚æ‚èA
1.282 < RR = 1.922 < 2.881 0.232 < RD = 0.263 < 0.299
1.097 < RRD = 1.218 < 1.352 0.147 < RDD = 0.160 < 0.173
1.677 < OR = 3.044 < 5.525
0.187 < PARP = 0.429 < 0.605 0.046 < PARPD = 0.098 < 0.150
‘î•ñ—ʃGƒ“ƒgƒƒs[F1.6627 (Max2.0)
‘ŠŒÝî•ñƒGƒ“ƒgƒƒs[: 0.03118
޾гî•ñƒGƒ“ƒgƒƒs[: 1.000@
‘ŠŒÝ^‘ƒGƒ“ƒgƒƒs[(%): 1.87526
ðŒî•ñƒGƒ“ƒgƒƒs[(–\˜I|„޾г): 0.9688
‘ŠŒÝ^޾гî•ñƒGƒ“ƒgƒƒs[(%): 3.118%
‚±‚Ì’j—‚̃Oƒ‹[ƒv‰»(‘w‰»)‚Å‚ÌMH(Mantel-Haenszel)•Ⳃ͎Ÿ‚Ì—l‚ɂȂè‚Ü‚·B
1.996 < RRMH = 2.728 < 3.728 0.326 < RDMH = 0.350 < 0.376
1.181 < RRDMH = 1.248 < 1.319 0.178 < RDDMH = 0.186 < 0.194
3.692 < ORMH = 4.867 < 6.417
0.456 < PARPMH = 0.593 < 0.697 0.083 < PARPDMH = 0.110 < 0.137
‚Ü‚½ASMR(Standardized Mortality Ratio)‚ÉŠî‚ÂƒŠƒXƒN”ä‚ÍŽŸ‚Ì—l‚ɂȂè‚Ü‚·B
1.992 < RRSMR = 2.705 < 3.675 0.326 < RDSMR = 0.350 < 0.376
1.181 < RRDSMR = 1.248 < 1.319 0.178 < RDDSMR = 0.186 < 0.194
0.455 < PARPSMR = 0.590 < 0.693 0.083 < PARPDSMR = 0.110 < 0.137
‘î•ñ—ʃGƒ“ƒgƒƒs[F1.5787 (Max2.0)
‘ŠŒÝî•ñƒGƒ“ƒgƒƒs[: 0.04967
޾гî•ñƒGƒ“ƒgƒƒs[: 1.000@
‘ŠŒÝ^‘ƒGƒ“ƒgƒƒs[(%): 3.1463
ðŒî•ñƒGƒ“ƒgƒƒs[(–\˜I|„޾г): 0.95033
‘ŠŒÝ^޾гî•ñƒGƒ“ƒgƒƒs[(%): 4.967%
-------------------------------------------------------------------------------------
ŒvŽZ•û–@ 6)
|
’j« |
ˆÝ‚ª‚ñœëг |
ˆÝ‚ª‚ñ”ñœëг |
¬Œv |
|
ƒsƒƒŠ‹ÛŠ´õ |
327 :a1 |
259 :c1 |
586: n11 |
|
ƒsƒƒŠ‹Û”ñŠ´õ |
15 : b1 |
83: d1 |
98: n01 |
|
¬Œv |
342: m11 |
342: m01 |
684 :T1 |
|
—« |
ˆÝ‚ª‚ñœëг |
ˆÝ‚ª‚ñ”ñœëг |
¬Œv |
|
ƒsƒƒŠ‹ÛŠ´õ |
151 :a2 |
124 :c2 |
275: n12 |
|
ƒsƒƒŠ‹Û”ñŠ´õ |
18 :b2 |
45 :d2 |
63: n02 |
|
¬Œv |
169: m12 |
169: m02 |
338 :T2 |
Mantel-Haenszel‚̕ⳂÍA‘w‚ð’Ê‚¶‚ăIƒbƒY”䂪ˆê’è‚Å‚ ‚邯‰¼’肵A‚‚܂è‚΂ç‚‚«‚͌뷂ł ‚邯‚̉¼’è‚ňê’è‚Ì”ä‚ðŒvŽZ‚·‚邱‚Ƃł·B‚»‚ÌƒŠƒXƒN”ä/ƒŠƒXƒN·/ƒIƒbƒY”ä‚ÌMantel-Haenszel •ⳂÍAWMH = n1*n0/T ‚Ìd‚Ý•t‚¯‚ð‚·‚é‚±‚Æ‚É‘Š“–‚µ‚Ü‚·B
R1 = a/n1 R0 = b/n0 ‚Æ‚µ‚Ä
RRMH= RRMH•ªŽq^RRMH•ª•ê =ƒ°WMHi R1i ^ƒ°WMHi R0i =ƒ°ai n0i/Ti ^ƒ°bi n1i/Ti
CI = RRMH x exp(}1.96xã(V(logRRMH))
‚±‚±‚ÅA
V(logRRMH) =ƒ°(m1i n0i n1i/(Ti)2– ai bi / Ti)^(ƒ°ai n0i / Ti)(ƒ°bi n1i / Ti)
CI = RRMH x exp(}1.96xã(V(logRRMH)) = 2.728 x exp(}0.312) = 3.728/1.996
RDMH= RDMH•ªŽq^RDMH•ª•ê =ƒ°WMHi (R1i – R0i )^ƒ°WMHi
=ƒ°(ai n0i – bi
n1i)/Ti ^ƒ°n0i n1i/Ti
CI = RDMH x exp(}1.96xã(V(logRDMH))
V(logRRMH) =ƒ°WMHi (ai bi / n1i 2(n1i -1) + ci di / n0i 2(n0i -1))^ƒ°WMHi
CI = RDMH x exp(}1.96xã(V(logRDMH)) = 0.350 x exp(}0.071) = 0.376/0.326
ORMH =ƒ°WMHi (ai / n1i)(di / n0i) ^ƒ°WMHi (ci / n1i)(bi / n0i) =ƒ°(aidi /Ti) /ƒ°(ci di / Ti)
=
(a1d1 / T1 + a2d2 / T2)
/ (c1d1/T1 + c2d2 / T2)
= 4.867
‚»‚Ì•ªŽUVMH‚ÍA
CI = ORMH x exp(}1.96xã(V(logORMH))
V(logORMH)
= [(a1d1)(a1+d1)/T12 +(a2d2)(a2+d2)/T22]/2(a1d1/T1 + a2d2/T2 ) 2
+ [(a1d1) (b1+ c1)/T12+ (b1c1) (a1+ d1)/T12 +(a2d2) (b2+ c2)/T22+ (b2c2) (a2+ d2)/T22]
/ 2[((a1d1 /T1+ a2d2 /T2)( b1c1 /T1+ b2c2 /T2)]
+[(b1b1)(b1+c1)/T12 +(b2b2)(b2+c2)/T22]/2(b1c1/T1 + b2c2/T2 ) 2
CI = ORMH x exp(}1.96xã(V(logORMH)) = 4.867 x exp(}0.276) = 6.417/3.692
ŒvŽZ•û–@
¡“x‚ÍA•W€‰»‚Ì•û–@SMR(Standard Mortality Ratio:•W€‰»Ž€–S—¦)‚Å‹‚߂Ă݂܂µ‚傤B7)
|
’j« |
ˆÝ‚ª‚ñœëг |
ˆÝ‚ª‚ñ”ñœëг |
¬Œv |
|
ƒsƒƒŠ‹ÛŠ´õ |
327 :a1 |
259 :c1 |
586: n11 |
|
ƒsƒƒŠ‹Û”ñŠ´õ |
15 : b1 |
83: d1 |
98: n01 |
|
¬Œv |
342: m11 |
342: m10 |
684 :T1 |
|
—« |
ˆÝ‚ª‚ñœëг |
ˆÝ‚ª‚ñ”ñœëг |
¬Œv |
|
ƒsƒƒŠ‹ÛŠ´õ |
151 :a2 |
124 :c2 |
275: n12 |
|
ƒsƒƒŠ‹Û”ñŠ´õ |
18 :b2 |
45 :d2 |
63: n02 |
|
¬Œv |
169: m21 |
169: m02 |
338 :T2 |
SRR(Standard Risk Ratio) = (r1 a1/n11 + r2 a2/n12)/ (r1 b1/n01 + r2 b2/n02)
”ñ–\˜IƒOƒ‹[ƒv‚ðŠî€‚Æ‚µ‚Ä•W€‰»‚·‚邽‚ßA
r1 = n01, r2 = n02‚Æ‚µ‚ÄA
SRR = (98 x 327/586 + 63 x 151/275)/ (98 x 15/98 + 63 x 18/63)
= (98 x 327/586 + 63 x 151/275)/ (15 + 18)
= 2.705
CI = SRR x exp(}1.96xã(V(logSRR))
‚±‚±‚Å
ŽQÆFRothman, K.J. Modern Epidemiology, Little, Brown and Co. Boston
V(log SRR) = ƒ°(ri ai / n1i (ri - ri ai / n1i) / n1i ) / ( ri ai / n1i)2
+ƒ°(ri bi / n0i (ri - ri bi / n0i) / n0i ) / ( ri bi / n0i)2
= (n01 a1 / n11 (n01 - n01 a1 / n11) / n11
+n02 a2 / n12 (n02 - n02
a2 / n12) / n12) / (n02 a2 /
n12)2
+ (n01 b1 / n01 (n01 - n01 b1 / n01) / n01
+n02 b1 / n01 (n02 - n02
b1 / n01) / n01) / (n02 b1 /
n01)2
= (n01 a1 / n11 (n01 - n01 a1 / n11) / n11
+n02 a2 / n12 (n02 - n02
a2 / n12) / n12) / (n02 a2 /
n12)2
+ (b1 (n01 - b1) / n01 +
b2 (n02 – b2) / n02) / (b2)2
= (98 x 327 / 586 x (98 - 98 x 327 / 586) / 586
+ 63 x 151 / 275 x (63 - 63 x 151 / 275) / 275) / (63 x 18 / 275)2
+ (15 x (98 - 15) / 98 + 18 x (63 – 18) / 63) / (18)2
‚±‚ê‚ðŒvŽZ‚µ‚ÄA
CI = SRR x exp(}1.96xã(V(logSRR))
= 2.705 x exp(}0.306)
= 3.675/ 1.922
1.922 < SRR=2.705 < 3.675
‚»‚µ‚ÄAƒŠƒXƒN·‚Í
SDR = [(r1 a1/n11 + r2 a2/n12) - (r1 b1/n01 + r2 b2/n02)] / (r1 + r2)
æ‚قǂƓ¯—lr1 = n01, r2 = n02‚Æ‚µ‚ÄA
SDR = [(n01 a1/n11 + n02 a2/n12) - (b1 + b2)] / (n01 + n02) = 0.350
CI = SDR x exp(}1.96xã(V(logSDR))
V(logSDR) =(1/ƒ°ri)ƒ°[(ri ai / n1i (ri - ri ai / n1i) / n1i ) / ( ri ai / n1i)
+ (ri bi / n0i (ri - ri bi / n0i) / n0i) / ( ri bi / n0i)]
CI = SDR x exp(}1.96xã(V(logSDR)) = 0.350 x exp(}0.071) = 0.376/0.326
0.326 < SDR=0.350 < 0.376
ŒvŽZI‚í‚è
\\\\\\\\\\\\\\\\\\\\\\\\\\\\\\\\\\\\\\\\\
‚±‚ê‚ç‚ÌŒ‹‰Ê‚̉ð͂͌ã‚Ù‚Ç‚µ‚Ü‚·B
’j—•Ê‘w•ʉð͂̌‹‰Ê‚ðŒ©‚Ü‚·‚Æ–{—ˆ’j—•ʂŔN—î•ʉðÍ‚ð‚·‚×‚«‚Æl‚¦‚ç‚ê‚Ü‚·‚ªA‚»‚ׂ̈Ì\•ª‚Èî•ñ‚ª‚ ‚è‚Ü‚¹‚ñB‚»‚±‚ÅA‚Æ‚è‚ ‚¦‚¸’j—ˆê‚É‚µ‚Ä”N—î•ʉðÍ‚ð‚µ‚Ä‚Ý‚½‚¢‚ÆŽv‚¢‚Ü‚·B
’j—ˆê‚Ì”N—îî•ñ‚ª‚ ‚è‚Ü‚·‚̂ł»‚ê‚ðŠî‚É•ªŠ„•\‚ð쬂µ‚Ä‚¢‚«‚½‚¢‚ÆŽv‚¢‚Ü‚·B
”N—î‚É‚æ‚é•Ⳃ͎Ÿ‚Ì—l‚ɂȂè‚Ü‚·B‚Ü‚¸”N—î•ʂ̕ªŠ„•\‚ðì‚è‚Ü‚·B
|
40Αã |
ˆÝ‚ª‚ñœëг |
ˆÝ‚ª‚ñ”ñœëг |
¬Œv |
|
ƒsƒƒŠ‹ÛŠ´õ |
72 :a |
52 :c |
124 :n1 |
|
ƒsƒƒŠ‹Û”ñŠ´õ |
5 :b |
25 :d |
30 :n0 |
|
¬Œv |
77 |
77 |
154 :T |
1.544 < RR = 3.484 < 7.863 0.353 < RD = 0.414 < 0.485
(1.173 < RRD = 1.385 < 1.634) (0.231 < RDD = 0.260 < 0.292)
2.486 < OR = 6.923 < 19.282
0.304 < PARP = 0.667 < 0.847 (0.080 < PARPD = 0.161 < 0.241)
‘î•ñƒGƒ“ƒgƒƒs[F1.62806
‘ŠŒÝî•ñƒGƒ“ƒgƒƒs[F0.08335
޾гî•ñƒGƒ“ƒgƒƒs[F1.000
‘ŠŒÝ/‘ƒGƒ“ƒgƒƒs[F5.1198%
ðŒî•ñƒGƒ“ƒgƒƒs[F0.91665
‘ŠŒÝ/޾гî•ñƒGƒ“ƒgƒƒs[F8.335%
|
50Αã |
ˆÝ‚ª‚ñœëг |
ˆÝ‚ª‚ñ”ñœëг |
¬Œv |
|
ƒsƒƒŠ‹ÛŠ´õ |
220 :a |
180 :c |
400 :n1 |
|
ƒsƒƒŠ‹Û”ñŠ´õ |
15 :b |
55 :d |
70 :n0 |
|
¬Œv |
235 |
235 |
470 :T |
1.625 < RR = 2.567 < 4.055 0.301 < RD = 0.336 < 0.374)
(1.130 < RRD = 1.222 < 1.322) (0.160 < RDD = 0.170 < 0.181)
2.450 < OR = 4.481 < 8.198
0.347 < PARP = 0.571 < 0.722 (0.061 < PARPD = 0.100 < 0.139)
‘î•ñƒGƒ“ƒgƒƒs[F1.5637
‘ŠŒÝî•ñƒGƒ“ƒgƒƒs[F0.03444
޾гî•ñƒGƒ“ƒgƒƒs[F1.000
‘ŠŒÝ/‘ƒGƒ“ƒgƒƒs[F2.7782%
ðŒî•ñƒGƒ“ƒgƒƒs[F0.95656
‘ŠŒÝ/޾гî•ñƒGƒ“ƒgƒƒs[F4.344%
|
60Αã |
ˆÝ‚ª‚ñœëг |
ˆÝ‚ª‚ñ”ñœëг |
¬Œv |
|
ƒsƒƒŠ‹ÛŠ´õ |
186 :a |
151 :c |
337 :n1 |
|
ƒsƒƒŠ‹Û”ñŠ´õ |
13 :b |
48 :d |
61 :n0 |
|
¬Œv |
199 |
199 |
398 :T |
1.584 < RR = 2.590 < 4.235 0.302 < RD = 0.339 < 0.380
(1.130 < RRD = 1.232 < 1.343) (0.164 < RDD = 0.176 < 0.188)
2.376 < OR = 4.548 < 8.706
0.331 < PARP = 0.574 < 0.733 (0.061 < PARPD = 0.104 < 0.146)
‘î•ñƒGƒ“ƒgƒƒs[F1.5726
‘ŠŒÝî•ñƒGƒ“ƒgƒƒs[F0.0453
޾гî•ñƒGƒ“ƒgƒƒs[F1.000
‘ŠŒÝ/‘ƒGƒ“ƒgƒƒs[F2.8815%
ðŒî•ñƒGƒ“ƒgƒƒs[F0.9547
‘ŠŒÝ/޾гî•ñƒGƒ“ƒgƒƒs[F4.5316%
MH•â³
1.987 < RRMH = 2.709 < 3.692 0.326 < RDMH = 0.350 < 0.376
1.182 < RRDMH = 1.248 < 1.319 0.178 < RDDMH = 0.186 < 0.194
3.676 < ORMH = 4.841 < 6.377
0.454 < PARP = 0.590 < 0.694 0.083 < PARPD = 0.110 < 0.137
SRM•W€‰»
1.992 < RRSRM = 2.715 < 3.701 0.326 < RDSRM = 0.350 < 0.376
1.118 < RRDSRM = 1.248 < 1.319 0.178 < RDDSRM = 0.186 < 0.194
0.454 < PARP = 0.591 < 0.695 0.083 < PARPD = 0.110 < 0.137
‘î•ñƒGƒ“ƒgƒƒs[F1.578
‘ŠŒÝî•ñƒGƒ“ƒgƒƒs[F0.04967
޾гî•ñƒGƒ“ƒgƒƒs[F1.0
‘ŠŒÝ/‘ƒGƒ“ƒgƒƒs[F3.1463%
ðŒî•ñƒGƒ“ƒgƒƒs[F0.9503
‘ŠŒÝ/޾гî•ñƒGƒ“ƒgƒƒs[F4.967%
ƒTƒ“ƒvƒ‹‚̔䗦‚ª•êW’c‚łଂ藧‚‚Ƃµ‚ĉðÍ‚µ‚Ă݂܂·B
40‘ã 50‘ã 60‘ã
œëгŽÀŽ¿l” 77/511 235/511 199/511
ƒsƒƒŠ‹ÛŠ´õ&œëг 72/511: 0.14090 220/511: 0.43053 186/511: 0.36400
ƒsƒƒŠ‹ÛŠ´õ/œëг 72/77: 0.9351 220/235: 0.9362 186/199: 0.9347
ƒsƒƒŠ‹ÛŠ´õ/”ñœëг 52/77: 0.675 180/235: 0.766 151/199: 0.759
•êW’cl” 3911 11938 10109 25958
‚±‚ÌŠ„‡‚ðŽŸ‚ÌŒ³‚Ì•ªŠ„•\‚É“K‰ž‚·‚邯A
|
|
ˆÝ‚ª‚ñœëг |
ˆÝ‚ª‚ñ”ñœëг |
¬Œv |
|
ƒsƒƒŠ‹ÛŠ´õ |
478 :a |
19073 :c |
19551 :n1 |
|
ƒsƒƒŠ‹Û”ñŠ´õ |
33 :b |
6374 :d |
6407 :n0 |
|
¬Œv |
511: m1 |
25447: m0 |
25958 :T |
”N‘ã•ÊŠ„‡‚Ì“K‰ž
•êW’c40Αã‚Ì•ªŠ„•\
|
40 |
ˆÝ‚ª‚ñœëг |
ˆÝ‚ª‚ñ”ñœëг |
¬Œv |
|
ƒsƒƒŠ‹ÛŠ´õ |
72 :a |
2589 :c |
2661 :n1 |
|
ƒsƒƒŠ‹Û”ñŠ´õ |
5 :b |
1245 :d |
1250 :n0: |
|
¬Œv |
77 |
3834 |
3911:T |
2.739 < RR = 6.764 < 16.704 0.023 < RD = 0.023 < 0.023
1.300 < RRD = 1.385 < 1.474 0.245 < RDD = 0.260 < 0.275
2.790 < OR = 6.925 < 17.186
0.542 < PARP = 0.797 < 0.914 0.006 < PARPD = 0.008 < 0.009
‘î•ñƒGƒ“ƒgƒƒs[F1.03805
‘ŠŒÝî•ñƒGƒ“ƒgƒƒs[F0.005590
޾гî•ñƒGƒ“ƒgƒƒs[F0.1397
‘ŠŒÝ/‘ƒGƒ“ƒgƒƒs[F0.5385%
ðŒî•ñƒGƒ“ƒgƒƒs[F0.1341
‘ŠŒÝ/޾гî•ñƒGƒ“ƒgƒƒs[F4.00185%
50‘ã•ªŠ„•\
|
50 |
ˆÝ‚ª‚ñœëг |
ˆÝ‚ª‚ñ”ñœëг |
¬Œv |
|
ƒsƒƒŠ‹ÛŠ´õ |
220 :a |
8964 :c |
9184 :n1 |
|
ƒsƒƒŠ‹Û”ñŠ´õ |
15 :b |
2739 :d |
2754 :n0 |
|
¬Œv |
235 |
11703: |
11938 :T@ |
2.611 < RR = 4.398 < 7.407 0.018 < RD = 0.018 < 0.018
1.180 < RRD = 1.222 < 1.266 0.165 < RDD = 0.170 < 0.176
2.652 < OR = 4.481 < 7.574
0.553 < PARP = 0.723 < 0.831 0.004 < PARPD = 0.004 < 0.005
‘î•ñƒGƒ“ƒgƒƒs[F0.91595
‘ŠŒÝî•ñƒGƒ“ƒgƒƒs[F0.0029346
޾гî•ñƒGƒ“ƒgƒƒs[F0.13967
‘ŠŒÝ/‘ƒGƒ“ƒgƒƒs[F0.32089%
ðŒî•ñƒGƒ“ƒgƒƒs[F0.13673
‘ŠŒÝ/޾гî•ñƒGƒ“ƒgƒƒs[F2.1011%
60‘ã•ªŠ„•\
|
60 |
ˆÝ‚ª‚ñœëг |
ˆÝ‚ª‚ñ”ñœëг |
¬Œv |
|
ƒsƒƒŠ‹ÛŠ´õ |
186 :a |
7520 :c |
7706 :n1 |
|
ƒsƒƒŠ‹Û”ñŠ´õ |
13 :b |
2390 :d |
2403 :n0 |
|
¬Œv |
199 |
9910 |
10109 :T@ |
2.547 < RR = 4.462 < 7.814 0.019 < RD = 0.019 < 0.019
1.185 < RRD = 1.232 < 1.280 0.170 < RDD = 0.176 < 0.182
2.587 < OR = 4.547 < 7.994
0.541 < PARP = 0.725 < 0.839 0.005 < PARPD = 0.005 < 0.005
‘î•ñƒGƒ“ƒgƒƒs[F0.9278
‘ŠŒÝî•ñƒGƒ“ƒgƒƒs[F0.003062
޾гî•ñƒGƒ“ƒgƒƒs[F0.1397
‘ŠŒÝ/‘ƒGƒ“ƒgƒƒs[F0.3300%
ðŒî•ñƒGƒ“ƒgƒƒs[F0.1366
‘ŠŒÝ/޾гî•ñƒGƒ“ƒgƒƒs[F2.192%
”N‘ã•Ê‘w•ʉ»‰ðÍ‚ÌMH•Ⳃ̌‹‰Ê
3.343 < RRMH < 4.747 < 6.742 0.019 < RDMH = 0.019 < 0.019
1.219 < RRDMH=1.248 < 1.278 0.182 < RDDMH = 0.186 < 0.190
3.899 < ORMH=4.841 < 6.896
0.638 < PARP = 0.738 < 0.812 0.004 < PARPD = 0.005 < 0.005
”N‘ã•Ê‘w•ʉ»‰ðÍ‚ÌSMR•Ⳃ̌‹‰Ê
3.363 < RRSMR=4.782 < 6.799 0.019 < RDSRM = 0.019 < 0.019
1.219 < RRDSMR=1.248 < 1.278 0.182 < RDDSMR = 0.186 < 0.190
0.640 < PARP = 0.740 < 0.814 0.004 < PARPD = 0.005 < 0.005
‘î•ñƒGƒ“ƒgƒƒs[F0.9425
‘ŠŒÝî•ñƒGƒ“ƒgƒƒs[F0.0033484
޾гî•ñƒGƒ“ƒgƒƒs[F0.1397
‘ŠŒÝ/‘ƒGƒ“ƒgƒƒs[F0.35527%
ðŒî•ñƒGƒ“ƒgƒƒs[F0.13632
‘ŠŒÝ/޾гî•ñƒGƒ“ƒgƒƒs[F2.3974%
‚܂Ƃ߂܂·‚ÆŽŸ‚Ì—l‚ɂȂè‚Ü‚·B
|
|
RR |
RD |
OR |
|
ƒIƒŠƒWƒiƒ‹‚T‚P‚PƒTƒ“ƒvƒ‹ |
(1.986 < 2.709 < 3.693) |
(0.326 < 0.350 < 0.376) |
3.227 < 4.841 < 7.262 |
|
•êW’c |
3.340 < 4.747 < 6.747 |
0.019 < 0.019 < 0.019 |
3.398 < 4.841 < 6.896 |
|
•êW’c’j«ƒOƒ‹[ƒv |
4.219 < 7.067
< 11.839 |
0.030 < 0.030
< 0.030 |
4.335 < 7.286
< 12.245 |
|
ƒTƒ“ƒvƒ‹’j«ƒOƒ‹[ƒv |
(2.276 < 3.646
< 5.841) |
(0.373 < 0.405
< 0.439) |
3.937 < 6.986
< 12.397 |
|
•êW’c—«ƒOƒ‹[ƒv |
1.706 < 2.776
< 4.519 |
0.009 < 0.010
< 0.010 |
1.717 < 2.803
< 4.577 |
|
ƒTƒ“ƒvƒ‹—«ƒOƒ‹[ƒv |
(1.282 < 1.922
< 2.881) |
(0.232 < 0.263
< 0.299) |
1.677 < 3.044
< 5.525 |
|
•êW’c’j«—«HM•â³ |
3.328 < 4.732
< 6.728 |
0.019 < 0.019
< 0.019 |
3.387 < 4.824
< 6.871 |
|
•êW’c’j«—«SMR•â³ |
3.326 < 4.727
< 6.718 |
0.014 < 0.014
< 0.014 |
|
|
ƒTƒ“ƒvƒ‹’j«—«HM•â³ |
(1.996 < 2.728
< 3.728) |
(0.326 < 0.350
< 1.376) |
3.692 < 4.867
< 6.417 |
|
ƒTƒ“ƒvƒ‹’j«—«SMR•â³ |
(1.992 < 2.705
< 3.675) |
(0.326 < 0.350
< 0.376) |
|
|
•êW’cƒOƒ‹[ƒv40‘ã |
2.739 < 6.764
< 16.704 |
0.023 < 0.023
< 0.023 |
2.790 < 6.925
< 17.186 |
|
ƒTƒ“ƒvƒ‹ƒOƒ‹[ƒv40‘ã |
(1.544 < 3.484
< 7.863) |
(0.353 < 0.414<
0.485) |
2.486 < 6.923
< 19.282 |
|
•êW’cƒOƒ‹[ƒv50‘ã |
2.611 < 4.398
< 7.407 |
0.018 < 0.018
< 0.018 |
2.652 < 4.481
< 7.574 |
|
ƒTƒ“ƒvƒ‹ƒOƒ‹[ƒv50‘ã |
(1.625 < 2.567
< 4.055) |
(0.301 < 0.336
< 0.374) |
2.450 < 4.481
< 8.198 |
|
•êW’cƒOƒ‹[ƒv60‘ã |
2.547 < 4.462
< 7.814 |
0.019 < 0.019
< 0.019 |
2.587 < 4.547
< 7.994 |
|
ƒTƒ“ƒvƒ‹ƒOƒ‹[ƒv60‘ã |
(1.584 < 2.590
< 4.235) |
(0.302 < 0.339
< 0.380) |
2.376 < 4.548
< 8.706 |
|
•êW’c”N‘ã•ÊHM•â³ |
3.343 < 4.747
< 6.742 |
0.019 < 0.019
< 0.019 |
3.899 < 4.841
< 6.896 |
|
•êW’c”N‘ã•ÊSMR•â³ |
3.363 < 4.782
< 6.799 |
0.019 < 0.019
< 0.019 |
|
|
ƒTƒ“ƒvƒ‹”N‘ã•ÊHM•â³ |
(1.987 < 2.709
< 3.692) |
(0.326< 0.350
< 0.376) |
|
|
ƒTƒ“ƒvƒ‹”N‘ã•ÊSMR•â³ |
(1.992 < 2.715
< 3.701) |
(0.326 < 0.350
< 0.376) |
3.676 < 4.841
< 6.377 |
ƒIƒŠƒWƒiƒ‹ƒTƒ“ƒvƒ‹3.227 < 4.841 < 7.262A„’è•êW’c3.398 < 4.841 < 6.896‚±‚Ì’l‚ð”äŠr‚·‚邯A•êW’c‚Ì„’è‚ͳ‚µ‚¢‚Æl‚¦‚ç‚ê‚Ü‚·B‚±‚ê‚æ‚è•êW’c‚̉ðÍŒ‹‰Ê‚ðŽQƂɂ·‚邱‚Ƃɂµ‚Ü‚·B
ƒIƒŠƒWƒiƒ‹ƒTƒ“ƒvƒ‹ƒIƒbƒY”ä3.227 < 4.841 < 7.262A•êW’cƒŠƒXƒN”ä3.340 < 4.747 < 6.747‚±‚Ì“ñ‚‚̒l‚ð”äŠr‚·‚邯ƒTƒ“ƒvƒ‹ƒx[ƒX‚̃IƒbƒY”ä‚Ì„’è‚Í•êW’c‚ÌƒŠƒXƒN”䂯‚½‚¢‚Ö‚ñ‹ß‚AƒIƒbƒY”ä‚ð‘z’èŠëŒ¯“x‚Æ‚µ‚ÄŽg‚¤‚±‚Ƃ͖â‘è‚È‚¢‚Æl‚¦‚ç‚ê‚é‚̂ŃƒWƒXƒeƒBƒbƒN‰ð͂͒ˆÓ[‚—p‚¢‚ê‚Ζâ‘è‚È‚¢‚Æ”»’f‚µ‚Ü‚·B
‚Ü‚½A511ƒTƒ“ƒvƒ‹‚ÌƒŠƒXƒN”ä‚ÍA1.986 < 2.709 < 3.693‚Å‚ ‚èA‘w•ʉðÍ‚Å‚à‚¾‚¢‚½‚¢“¯‚¶’l1.996 < 2.728 < 3.728‚ð‚µ‚Ä‚µ‚Ä‚¨‚èA‚±‚ê‚Í•êW’c‚ÌƒŠƒXƒN”äA511ƒTƒ“ƒvƒ‹‚̃IƒbƒY”䂯”ä‚ׂĂ©‚È‚èˆá‚Á‚Ä‚¨‚èA‚±‚ê‚Í•êW’c‚̃sƒƒŠ‹ÛŠ´õŠ„‡‚ðƒTƒ“ƒvƒ‹‚ª³Šm‚É”½‰f‚µ‚Ä‚¢‚È‚¢‚½‚߂ɋN‚±‚Á‚Ä‚¨‚èA‰ü‚߂ă‰ƒ“ƒ_ƒ€ƒTƒ“ƒvƒ‹‚Ìd—v«‚ÆAÇ—á‘ÎÆŒ¤‹†‚Å‚ÌƒŠƒXƒN”ä‚Ì‚µ‚悤‚̊댯«‚ð•\‚µ‚Ä‚¢‚Ü‚·B
‚Pj@•êW’c‚Ìê‡
•êW’cƒŠƒXƒN”ä 3.340 < 4.747 < 6.747
’j«ƒOƒ‹[ƒvƒŠƒXƒN”ä 4.219 < 7.067 < 11.839A
—«ƒOƒ‹[ƒvƒŠƒXƒN”ä 1.706 < 2.776 < 4.519A
’j«—«HM•â³ 3.328 < 4.732 < 6.728A
’j«—«SMR•â³ 3.326 < 4.727 < 6.718A
’j«ƒOƒ‹[ƒv‚ª‘å‚«‚A—«ƒOƒ‹[ƒv‚ª¬‚³‚AM—Š‹æŠÔ‚Í‚©‚낤‚¶‚Äd‚È‚Á‚Ä‚¢‚Ü‚·BŽÀÛ‚Ì•{”•\‚݂̈ª‚ñœëг—¦’j—•ʃf[ƒ^(Œã‚Ù‚ÇŽQÆ‚µ‚Ü‚·)‚Å‚à—«‚ªˆÝ‚ª‚ñ‚É‚©‚©‚è‚É‚‚¢‚±‚Ƃ͂͂Á‚«‚è‚Æ•\‚ê‚Ä‚¢‚Ü‚·B‚±‚ê‚æ‚èA‚±‚̃f[ƒ^‚Í’j—‘w•ʉðÍ‚·‚ׂ«‚Å‚ ‚èA‚»‚ÌŒ‹‰Ê’j—•ÊX‚ÉƒŠƒXƒN‚ðŒŸ“¢‚·‚ׂ«‚Å‚ ‚邯”»’f‚µ‚Ü‚·B‚Ü‚½HM•â³ASMR•ⳂƂà‘w•ʉ»‚µ‚È‚¢‚à‚̂ƒl‚Æ‚½‚¢‚Ö‚ñ‹ß‚¢‚Å‚·‚ªA‚±‚ê‚Í‚ ‚‚܂Œj—“¯ˆê‚ÌƒŠƒXƒN‚ðŽ‚Â‚Æ‰¼’肵‚½ê‡‚É‘w‚ð‡‚킹‚½Œ‹‰Ê‚Å‚·‚Ì‚ÅAˆê’è‚ÌƒŠƒXƒN‚ł͂Ȃ¢‚Æ”»’f‚³‚ê‚éꇂ͂±‚̕ⳂðŽÀs‚·‚邱‚ÆŽ©‘Ì‚ª„§‚³‚ê‚Ü‚¹‚ñB
‚Qj@511ƒTƒ“ƒvƒ‹‚Ìê‡
’j«ƒOƒ‹[ƒvƒIƒbƒY”ä 3.937 < 6.986 < 12.397A
—«ƒOƒ‹[ƒvƒŠƒXƒN”ä 1.677 < 3.044 < 5.525A
’j«—«ƒIƒbƒY”äHM•â³ 3.692 < 4.867 < 6.417A
ƒIƒŠƒWƒiƒ‹ƒIƒbƒY”ä 3.227 < 4.841 < 7.262
511ƒTƒ“ƒvƒ‹ƒf[ƒ^‚Å”äŠr‚µ‚Ä‚à‚æ‚¢‚̂̓IƒbƒY”ä‚Å‚·B’j«‚̃IƒbƒY”䂪‚©‚È‚è‘å‚«‚A—«‚̃IƒbƒY”ä‚©‚©‚Ȃ謂³‚A‚Ü‚½‚»‚ê‚ç‚Ì’l‚Í•êW’c‚©‚焒肳‚ê‚郊ƒXƒN”䂯‹ß‚¢’l‚ƂȂÁ‚Ä‚¢‚Ü‚·BHM•Ⳃ̓IƒŠƒWƒiƒ‹‚Æ‚©‚È‚¢‹ß‚¢’l‚ðo‚µ‚Ä‚¢‚Ü‚·‚ªA‚±‚ê‚àæ‚Ù‚Ç‚ÌlŽ@‚̂悤‚É’j—‚ª“¯ˆê‚ÌƒŠƒXƒN‚Å‚ ‚邯‰¼’肵‚½ê‡‚̕Ⳃł·‚Ì‚ÅA‚»‚̕Ⳏ©‘Ì‚ª–â‘è‚Æ‚È‚è‚Ü‚·‚̂ŎÀs‚·‚ׂ«•Ⳃł͂Ȃ¢‚Æ”»’f‚³‚ê‚Ü‚·B
‚±‚ê‚É‚æ‚èAƒsƒƒŠ‹ÛŠ´õ‚݂̈ª‚ñ‚ւ̉e‹¿‚Í’j—•ÊX‚Å„’è‚·‚邱‚Ƃɂµ‚Ü‚·B
’j—•ʂ̌‹‰Ê‚æ‚èA’j—•ÊX‚É”N—î‘w•ʉðÍ‚ð‚µ‚½‚¢‚̂ł·‚ªA‚»‚̃Oƒ‹[ƒv•ª‚¯‚ðs‚¦‚邾‚¯‚Ì\•ª‚Èî•ñ‚ª‚ ‚è‚Ü‚¹‚ñB‚»‚±‚ÅA’j—ˆê‚Æ‚µ‚Ä”N—î‘w•ʉðÍ‚ðs‚Á‚Ă݂܂·B
‚S|‚Pj•êW’c
•êW’c40‘ãƒOƒ‹[ƒvƒŠƒXƒN”ä 2.739 < 6.764 < 16.704
•êW’c50‘ãƒOƒ‹[ƒvƒŠƒXƒN”ä 2.611 < 4.398 < 7.407
•êW’c60‘ãƒOƒ‹[ƒvƒŠƒXƒN”ä 2.547 < 4.462 < 7.814
•êW’c”N‘ã•ÊƒŠƒXƒN”äHM•â³ 3.362 < 4.776 < 6.784
•êW’c”N‘ã•ÊƒŠƒXƒN”äSMR•â³ 3.343 < 4.747 < 6.742
•êW’cƒŠƒXƒN”ä 3.363 < 4.782 < 6.799
Še”N‘ã‚ÌƒŠƒXƒN”äA‹y‚Ñ‚»‚ÌHM•â³ASMR•â³ƒŠƒXƒN”ä‚ÍAƒTƒ“ƒvƒ‹”N‘ã•ʂ̃IƒbƒY”䂯‚©‚È‚è‹ß‚‚È‚Á‚Ä‚¢‚Ü‚·B‚±‚ê‚ÍAœëг—¦‚ª’á‚¢‚±‚Æ‚ðl‚¦‚邯•êW’c‚Ì„’肪‚æ‚¢ü‚ðŒ¾‚Á‚Ä‚¢‚邱‚Æ‚ðˆÓ–¡‚µ‚Ü‚·B‚»‚±‚ÅAŠî–{“I‚ɂ͂±‚Ì•êW’c‚ÌŒ‹‰Ê‚ð—Dæ‚·‚邱‚Ƃɂµ‚Ü‚·B‚½‚¾‚µA’j—•ʉðÍ‚Åà–¾‚µ‚Ü‚µ‚½‚悤‚É–{—ˆ’j—•ʂʼnðÍ‚·‚ׂ«‚Å‚·B‚»‚̉”\«‚ÍŒã‚Ù‚Ç’T‚Á‚Ă݂½‚¢‚ÆŽv‚¢‚Ü‚·B
40‘ã‚݂̂ª‘å‚«‚È’l‚ƂȂÁ‚Ä‚¢‚Ü‚·B‚½‚¾‚µAM—Š‹æŠÔ‚͑傫‚d‚È‚Á‚Ä‚¨‚èAƒTƒ“ƒvƒ‹”‚ª‚È‚¢‚ª‚½‚ß‚ÉM—Š‹æŠÔ‚àL‚‚±‚̃f[ƒ^‚¾‚¯‚Å‚Í40‘ã‚̂ݷ‚ª‚ ‚邯‚ÍŒ¾‚¦‚Ü‚¹‚ñB‚½‚¾ƒTƒ“ƒvƒ‹ƒTƒCƒY‚Í‚©‚Ȃ葽‚¢(3911)‚½‚ßA‘S‚–³Ž‹‚·‚邱‚Æ‚à–â‘肪‚ ‚è‚»‚¤‚Å‚·B‚±‚ê‚ÌŒ¾‚í‚ñ‚Æ‚·‚邱‚Æ‚ÍAŽá‚¢‚قǃsƒƒŠ‹Û‚̉e‹¿‚ň݂ª‚ñ‚É‚È‚é‚Æ‚¢‚¤‚±‚Ƃł·B‚È‚ñ‚ƂȂ”[“¾‚Å‚«‚é•”•ª‚à‚ ‚è‚Ü‚·B‚æ‚Á‚ÄAŒã‚قLjႤŒ`‚ÅlŽ@‚µ‚Ă݂½‚¢‚ÆŽv‚¢‚Ü‚·B
‚S|‚Qj511ƒTƒ“ƒvƒ‹
‰º‚̂悤‚ɃTƒ“ƒvƒ‹‚ÌŒ‹‰Ê‚Æ„’è•êW’c‚ÌŒ‹‰Ê‚Í‚©‚Ȃ莗’Ê‚Á‚Ä‚¢‚Ü‚·B‚»‚±‚ÅAŠî–{“I‚ɂ̈́’è•êW’c‚ÌŒ‹‰Ê‚ð—D悵‚Ü‚·B
ƒTƒ“ƒvƒ‹40‘ãƒOƒ‹[ƒvƒIƒbƒY”ä 2.486 < 6.923 < 19.282
ƒTƒ“ƒvƒ‹50‘ãƒOƒ‹[ƒvƒIƒbƒY”ä 2.450 < 4.481 < 8.198
ƒTƒ“ƒvƒ‹60‘ãƒOƒ‹[ƒvƒIƒbƒY”ä 2.376 < 4.548 < 8.706
ƒTƒ“ƒvƒ‹”N‘ã•ʃIƒbƒY”äHM•â³ 3.676 < 4.841 < 6.377
ƒTƒ“ƒvƒ‹ƒIƒbƒY”ä 3.227 < 4.841 < 7.262
•êW’c40‘ãƒOƒ‹[ƒvƒŠƒXƒN”ä 2.739 < 6.764 < 16.704
•êW’c50‘ãƒOƒ‹[ƒvƒŠƒXƒN”ä 2.611 < 4.398 < 7.407
•êW’c60‘ãƒOƒ‹[ƒvƒŠƒXƒN”ä 2.547 < 4.462 < 7.814
•êW’c”N‘ã•ÊƒŠƒXƒN”äHM•â³ 3.362 < 4.776 < 6.784
•êW’c”N‘ã•ÊƒŠƒXƒN”äSMR•â³ 3.343 < 4.747 < 6.742
‚±‚ê‚æ‚èA”N—î‚É‚æ‚é•â³A«•ʂɂæ‚é•ⳂÍs‚킸AˆÝ‚ª‚ñ‚ÌƒŠƒXƒN‚ɑ΂µA’j—‚Ì‘w•ʉ»‚Ís‚Á‚½‚¤‚¦‚ÅAƒsƒƒŠ‹Û”ߊ´õ‚ň݂ª‚ñ‚ɂȂéâ‘Εp“x‚ð15”N‚Å0.019(0.1267%/”N)‚Æ‚µA’j«‚Í‚»‚ê‚ÉA0.030 – 0.019 = 0.011(0.0733%/”N)‚̃vƒ‰ƒX(0.2%/”N)A—«‚Í‚»‚ê‚©‚ç0.010 – 0.019 = -0.009A‚‚܂è0.009(0.06%/”N)Œ¸ŽZ‚·‚é‚à‚Ì(0.0667%/”N)‚Æ‚µ‚Ü‚·B‚±‚ê‚ç‚Ì’l‚ÍŒã‚Ù‚Ç‘¼‚̘_•¶Aî•ñ‚Æ”äŠr‚¯ŒŸ“¢‚µ‚½‚¢‚ÆŽv‚¢‚Ü‚·B
‚Ü‚½1681/85394=0.019685223(1.9685%)A1968.522379/10–œl‚ª‘S‘̂̒lA‚‚܂èƒsƒƒŠ‹ÛŠ´õ‚Ì—L–³‚ª‚í‚©‚ç‚È‚¢ê‡‚ɊƂµ‚Ü‚·B
ƒsƒƒŠ‹ÛŠ´õ—¦‚Íŋߌ¸‚Á‚Ä‚«‚Ä‚¢‚Ü‚·‚̂ł»‚ÌlŽ@‚ÍŒã‚Ù‚Ç‚µ‚Ü‚·B
œ‹Û‚ÌŒø‰Ê‚ɂ‚¢‚Ă͂±‚̃Œƒ|[ƒg‚©‚ç‚Í•s–¾‚ÅA‘¼‚ÌƒŠƒ\[ƒX‚ð’T‚·•K—v‚ª‚ ‚è‚Ü‚·B
|
|
PARP (RiskRatio) lŒûŠñ—^Š„‡ |
PARP (Odds Ratio) lŒûŠñ—^Š„‡ |
‘ŠŒÝî•ñ ƒGƒ“ƒgƒƒs[ |
‘ŠŒÝ/޾гî•ñ ƒGƒ“ƒgƒƒs[ |
|
ƒIƒŠƒWƒiƒ‹‚T‚P‚PƒTƒ“ƒvƒ‹ |
(0.454 < 0.590 < 0.694) |
0.646 < 0.742 < 0.807 |
0.04967 |
4.967% |
|
•êW’c |
0.639 < 0.739 < 0.813 |
0.660 < 0.742 < 0.800 |
0.0023764 |
2.248% |
|
•êW’c’j«ƒOƒ‹[ƒv |
0.606 < 0.733
< 0.820 |
0.634 < 0.738
< 0.806 |
0.004334 |
2.493% |
|
ƒTƒ“ƒvƒ‹’j«ƒOƒ‹[ƒv |
(0.522 < 0.694
< 0.806) |
0.713 < 0.819
< 0.879 |
0.006315 |
6.315% |
|
•êW’c—«ƒOƒ‹[ƒv |
0.552 < 0.751
< 0.864 |
0.585 < 0.752<
0.840 |
0.0012274 |
2.060% |
|
ƒTƒ“ƒvƒ‹—«ƒOƒ‹[ƒv |
(0.187 < 0.429
< 0.605) |
0.361 < 0.600
< 0.732 |
0.03118 |
3.118% |
|
•êW’c’j«—«HM•â³ |
0.638 < 0.738
< 0.812 |
0.660 < 0.742
< 0.800 |
0.0023764 |
2.248% |
|
•êW’c’j«—«SMR•â³ |
0.638 < 0.738
< 0.812 |
|
0.0023764 |
2.248% |
|
ƒTƒ“ƒvƒ‹’j«—«HM•â³ |
(0.456 < 0.593
< 0.697) |
0.647 < 0.743
< 0.808 |
0.04967 |
4.967% |
|
ƒTƒ“ƒvƒ‹’j«—«SMR•â³ |
(0.455 < 0.590
< 0.693) |
|
0.04967 |
4.967% |
|
•êW’cƒOƒ‹[ƒv40‘ã |
0.542 < 0.797
< 0.914 |
0.600 < 0.800
< 0.881 |
0.005590 |
4.002% |
|
ƒTƒ“ƒvƒ‹ƒOƒ‹[ƒv40‘ã |
(0.304 < 0.667
< 0.847) |
0.559 < 0.800
< 0.887 |
0.08335 |
8.335% |
|
•êW’cƒOƒ‹[ƒv50‘ã |
0.553 < 0.723
< 0.831 |
0.583 < 0.727<
0.813 |
0.0029346 |
2.101% |
|
ƒTƒ“ƒvƒ‹ƒOƒ‹[ƒv50‘ã |
(0.347 < 0.571
< 0.722) |
0.554 < 0.727
< 0.822 |
0.03444 |
4.344% |
|
•êW’cƒOƒ‹[ƒv60‘ã |
0.541 < 0.725
< 0.839 |
0.574 < 0.729
< 0.818 |
0.003062 |
2.193% |
|
ƒTƒ“ƒvƒ‹ƒOƒ‹[ƒv60‘ã |
(0.331 < 0.574
< 0.733) |
0.541 < 0.729
< 0.827 |
0.0453 |
4.5316% |
|
•êW’c”N‘ã•ÊHM•â³ |
0.638 < 0.738
< 0.814 |
0.657 < 0.740
< 0.814 |
0.0033484 |
2.3974% |
|
•êW’c”N‘ã•ÊSMR•â³ |
0.640 < 0.740
< 0.814 |
|
0.0033484 |
2.3974% |
|
ƒTƒ“ƒvƒ‹”N‘ã•ÊHM•â³ |
(0.454 < 0.590
< 0.694) |
0.646< 0.742
< 0.807 |
0.04967 |
4.967% |
|
ƒTƒ“ƒvƒ‹”N‘ã•ÊSMR•â³ |
(0.454 < 0.591
< 0.695) |
|
0.04967 |
4.967% |
‚Pj˜_•¶‚Å‚ÍAlŒûŠñ—^Š„‡‚Í0.633<0.75.2<83.2‚ƂȂÁ‚Ä‚¢‚Ü‚·B‚±‚ê‚ÍAƒTƒ“ƒvƒ‹‚ªƒ‰ƒ“ƒ_ƒ€‚ƂȂç‚È‚©‚Á‚½‹Ö‰Œ^‹i‰ŒA–ìØ‚â‰Ê•¨‚ÌÛŽæ—Ê‚È‚Ç‚Å•â³‚ð‚©‚¯‚Ä‚¢‚Ü‚·‚ª‚»‚Ìî•ñ‚ªÚ‚Á‚Ä‚¢‚È‚¢‚½‚߂Ƃ肢‚ê‚邱‚Æ‚ªo—ˆ‚Ü‚¹‚ñB‚Ü‚½Aœëг—¦‚ª’á‚¢‚Æ‚¢‚¤‚±‚ƂŃIƒbƒY”äƒx[ƒX‚ÌlŒûŠñ—^Š„‡‚ðŒvŽZ‚µ‚Ä‚¢‚Ü‚·Bã‚ÌŒvŽZ‚æ‚èA
511ƒTƒ“ƒvƒ‹ƒIƒbƒY”älŒûŠñ—^Š„‡ 0.646 < 0.742 < 0.807
„’è•êW’cƒŠƒXƒN”älŒûŠñ—^Š„‡ 0.639 < 0.739 < 0.813
„’è•êW’cƒIƒbƒY”älŒûŠñ—^Š„‡ 0.660 < 0.742 < 0.800
–{—ˆ‚Ì•êW’cƒŠƒXƒN”älŒûŠñ—^Š„‡‚ª‚»‚Ì‘¼‚Ì’l‚Æ”ñí‚ɋ߂¢‚½‚ßAƒIƒbƒY”älŒûŠñ—^Š„‡‚Í‚æ‚ƒŠƒXƒN”äƒx[ƒX‚Ì‚à‚Ì‚ð‘ã•\‚µ‚Ä‚¨‚èA‚Ü‚½„’è•êW’c‚à‚©‚È‚è‚æ‚¢„’è‚Æ‚È‚Á‚Ä‚¢‚¢‚邯l‚¦‚ç‚ê‚Ü‚·B‚»‚ê‚È‚ç‚ÎAƒTƒ“ƒvƒ‹ƒx[ƒX‚ÌŒ‹‰Ê‚æ‚è‚à„’è•êW’c‚ÌŒ‹‰Ê‚ðŽg—p‚µ‚Ä‚¢‚«‚½‚¢‚ÆŽv‚¢‚Ü‚·B
‚QjlŒûŠñ—^Š„‡‚Í75%’ö“x‚ ‚è‚Ü‚·‚ªAŽÀۂɉe‹¿‚ðŽó‚¯‚é‚͖̂ñ1.4“‚Ìl‚Å‚µ‚½B@75%‚Å‚·‚Æ”ñí‚É—LŒø‚Ȃ悤‚ÉŠ´‚¶‚Ä‚µ‚Ü‚¢‚Ü‚·‚ªA‚±‚ꂪ‘Š‘ÎŠëŒ¯“xA“Á‚É‘Š‘ÎƒIƒbƒY”ä‚Ì’ˆÓ‚ð—v‚·‚邯‚±‚ë‚Å‚·B•K‚¸‰½‚ç‚©‚Ìâ‘Ί댯“x‚𓯎ž‚É”äŠr‚·‚ׂ«‚Æl‚¦‚ç‚ê‚Ü‚·B
‚Rj•\‚ð”ä‚ׂ邯‘ŠŒÝ/޾гî•ñƒGƒ“ƒgƒƒs[‚ª‚悎Àî‚ð•\‚µ‚Ä‚¢‚邿‚¤‚Å‚·B¡Œã‚±‚Ì’l‚à’–Ú‚µ‚Ä‚¢‚«‚½‚¢‚ÆŽv‚¢‚Ü‚·B
‚±‚̘_•¶‚Å‚ÍX‚ÉCagA‚Ìó‘ԂƃyƒvƒVƒm[ƒQƒ“‚Ìó‘Ô‚ð‡‚킹‚ÄŒŸ“¢‚µ‚Ä‚¢‚Ü‚·B¡“x‚Í‚»‚¿‚ç‚ðŒ©‚Ä‚Ý‚Ü‚·B
CagAF ƒsƒƒŠ‹Û‚ª•ª”å‚·‚éˆÝ‚ª‚ñ‚Ì•aŒ´ˆöŽq‚̂ЂƂ‚ł ‚é’`”’‚ÅAƒsƒƒŠ‹ÛŠ´õ‚ÌÅ‘å‚̊댯ˆöŽq‚ÆŒ¾‚í‚ê‚Ä‚¢‚Ü‚·B‚±‚ê‚ð—L‚µ‚Ä‚¢‚邯A‚æ‚è‹‚¢‰ŠÇ‚Ƃ̊֘A‚ª‚ ‚邯‚³‚ê‚Ü‚·BCagA‚͈Ýã”ç×–E“à‚Ń`ƒƒVƒ“ƒŠƒ“Ž_‰»‚ðŽó‚¯A‚»‚ÌƒŠƒ“Ž_‰»‚³‚ꂽCagA‚Í×–E‘B‚â×–E‰^“®A×–EŽ€—}§‚ȂǑ½—l‚È×–E‰ž“š‚ðˆø‚«‹N‚±‚·‚±‚Æ‚ª•ñ‚³‚ê‚Ä‚¢‚Ü‚·B‰¢•Ăɔä‚ׂēú–{‚ł͑½‚‚̃sƒƒŠ‹Û‚ªCagA‚ð—L‚µ‚Ä‚¢‚邯‚¢‚í‚ê‚Ä‚¢‚éB
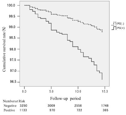
ƒyƒvƒVƒm[ƒQƒ“ (PG)F ˆÝ”S–Œ‚©‚番”傳‚ê‚éƒyƒvƒVƒ“‚Ì‘O‹ì•¨Ž¿‚Ì‚±‚Æ‚ÅAŒŒ´’†‚Ɋ܂܂ê‚Ä‚¢‚Ü‚·BˆÝ‚̂ǂ̕ӂè‚Å•ª”傳‚ê‚é‚©‚É‚æ‚èAƒyƒvƒVƒm[ƒQƒ“‡T‚ƇU(PGI, PGII)‚É•ª—Þ‚³‚ê‚Ü‚·B—¼ŽÒ‚̈ݓà‚Ì•ª•z‚̈Ⴂ‚ªˆÝ”S–Œ‚Ìó‘Ԃ𔽉f‚µAŒŒ’†”Z“x‚à•ω»‚·‚邱‚Æ‚©‚çˆÝ”S–ŒˆÞk‚ÌŽw•W‚Æ‚µ‚Ä—p‚¢‚ç‚ê‚Ü‚·BŒŒ‰t’†‚̃yƒvƒVƒm[ƒQƒ“‚̇U‚ɑ΂·‚é‡T‚ÌŠ„‡‚ð’²‚×‚é‚ÆAˆÝ”S–Œ‚̈Þk‚ÌL‚ª‚è‚Æ‚»‚Ì’ö“xAˆÝ‰t‚Ì•ª”å‹@”\AˆÝ”S–Œ‚̉ŠÇ‚Ì—L–³‚ª•ª‚©‚è‚Ü‚·Bŋ߈݂ª‚ñ‚̃XƒNƒŠ[ƒjƒ“ƒOŒŸ¸‚Æ‚µ‚Ä—L—p‚Å‚ ‚邱‚Æ‚ª–¾‚ç‚©‚ƂȂèŽn‚߂Ă¢‚Ü‚·B‚‚܂èAŒŒ‰tŒŸ¸‚É‚æ‚éˆÝ‚ª‚ñƒŠƒXƒNŒŸf‚Å‚·B
‚³‚ÄŒ³‚ÌƒŠƒXƒN”ä‚ÍŽŸ‚Ì—l‚Å‚µ‚½B‚±‚ê‚ðŠî‚ɂ܂¸CagA‚̊댯“x‚ð‰ðÍ‚µ‚Ă݂܂·B
•êW’cƒŠƒXƒN”ä/· 3.340 < 4.747 < 6.747 0.019 < 0.019 < 0.019
•êW’c’j«ƒŠƒXƒN”ä/· 4.219 < 7.067 < 11.839 0.030 < 0.030 < 0.030
•êW’c—«ƒŠƒXƒN”ä/· 1.706 < 2.776 < 4.519 0.009 < 0.010 < 0.010
ƒTƒ“ƒvƒ‹ƒIƒbƒY”ä 3.227 < 4.841 < 7.262
ƒTƒ“ƒvƒ‹’j«ƒIƒbƒY”ä 3.937 < 6.986 < 12.397
ƒTƒ“ƒvƒ‹—«ƒIƒbƒY”ä 1.677 < 3.044 < 5.525
|
|
ˆÝ‚ª‚ñœëг |
ˆÝ‚ª‚ñ”ñœëг |
¬Œv |
|
CagA+ |
390: a |
358: c |
748: n1 |
|
CagA| |
121: b |
153: d |
274: n0 |
|
¬Œv |
511: m1 |
511: m0 |
1022: T |
1.016 < RR = 1.181 < 1.371 0.074 < RD = 0.080 < 0.085
1.011 < RRD = 1.089 < 1.174 0.059 < RDD = 0.063 < 0.066
1.043 < OR = 1.377 < 1.174
0.012 < PARP = 0.117 < 0.214 0.006 < PARPD = 0.043 < 0.080
‘î•ñ—ʃGƒ“ƒgƒƒs[F1.835 (Max2.0)
‘ŠŒÝî•ñƒGƒ“ƒgƒƒs[: 0.00361
޾гî•ñƒGƒ“ƒgƒƒs[: 1.0
‘ŠŒÝ^‘ƒGƒ“ƒgƒƒs[(%): 0.196
ðŒî•ñƒGƒ“ƒgƒƒs[(–\˜I|„޾г): 0.9964
‘ŠŒÝ^޾гî•ñƒGƒ“ƒgƒƒs[(%): 0.361%
|
|
ˆÝ‚ª‚ñœëг |
ˆÝ‚ª‚ñ”ñœëг |
¬Œv |
|
CagA+ |
390: a |
17828: c |
18218: n1 |
|
CagA| |
121: b |
7619: d |
7740: n0 |
|
¬Œv |
511: m1 |
25447: m0 |
25958 :T |
1.119 < RR = 1.369 < 1.676 0.006 < RD = 0.006 < 0.006
1.037 < RRD = 1.089 < 1.144 0.060 < RDD = 0.063 < 0.065
1.121 < OR = 1.377 < 1.692
0.077 < PARP = 0.206 < 0.322 0.001 < PARPD = 0.002 < 0.003
0.083 < PARPOR = 0.209 < 0.312 0.002 < PARPDOR = 0.006 < 0.009
‘î•ñ—ʃGƒ“ƒgƒƒs[F1.0184 (Max2.0)
‘ŠŒÝî•ñƒGƒ“ƒgƒƒs[: 0.0002724
޾гî•ñƒGƒ“ƒgƒƒs[: 0.13967
‘ŠŒÝ^‘ƒGƒ“ƒgƒƒs[(%): 0.02675
ðŒî•ñƒGƒ“ƒgƒƒs[(–\˜I|„޾г): 0.13940
‘ŠŒÝ^޾гî•ñƒGƒ“ƒgƒƒs[(%): 0.19505%
ƒTƒ“ƒvƒ‹‚̃IƒbƒY”ä1.043 < OR = 1.377 < 1.174‚Æ„’è•êW’c‚ÌƒŠƒXƒN”ä1.119 < RR = 1.369 < 1.676‚ÍA‚½‚¢‚Ö‚ñŽ—’Ê‚Á‚Ä‚¢‚Ü‚·B‚»‚±‚Å„’è•êW’c‚Ì’l‚ªŽg‚¦‚é‚à‚̂Ƃµ‚Ü‚·B
Šî€‚ÍA•êW’c‚݂̈ª‚ñƒŠƒXƒN 511/25958 ‚Å‚·B
‚»‚µ‚ÄACagA|‚݂̈ª‚ñƒŠƒXƒN‚Í121/7740 ‚»‚µ‚ÄCagA+‚݂̈ª‚ñƒŠƒXƒN‚Í390/18218‚Å‚·B
‚»‚±‚ÅA
CagA|‘ΕêW’c‚ÌƒŠƒXƒN”ä/·‚Í
(121/7740)/(511/25958) = 0.794135732 (121/7740) - (511/25958) = -0.004052571
CagA{‘ΕêW’c‚ÌƒŠƒXƒN”ä/·‚Í
(390/18218)/(511/25958) = 1.087462369 (390/18218) - (511/25958)= 0.001721753
‚±‚ê‚æ‚èACagAî•ñ‚ª‚í‚©‚Á‚½ê‡‚É‚Í|‚ÌŽž‚ÍA|0.4%A{‚ÌŽž‚Í{0.17“‚ðƒIƒŠƒWƒiƒ‹‚æ‚艺ŒÀ‚·‚ׂ«‚Æl‚¦‚Ü‚·B
|
|
ˆÝ‚ª‚ñœëг |
ˆÝ‚ª‚ñ”ñœëг |
¬Œv |
|
IgG + CagA+ |
363: a4 |
281: c4 |
644: n14 |
|
IgG + CagA| |
115: a3 |
102:c3 |
217: n13 |
|
IgG|CagA+ |
27: a2 |
77: c2 |
104: n12 |
|
IgG|CagA| |
6: a1 |
51: c1 |
57: n11 |
|
¬Œv |
511: m1 |
511: m0 |
1022: T |
IgG|CagA|‚ðŠî€‚Æ‚µ‚Ä(1.0)A‘¼‚ÌRelative Risk‚ðŽŸ‚Ì—l‚ÉŒvŽZ‚µ‚Ä‚¢‚Ü‚·B
RelativeR1 = 6/51 = 0.11765 -> 1.0‚É‹KŠi‰»
RelativeR2 = 27/77 = 0.35065 -> ‹KŠi‰» (27/77) / (51/6) = 2.9805
RelativeR3 = 115/102 = 1.12745 -> ‹KŠi‰» (115/102) / (51/6) = 9.5833
RelativeR4 = 363/281 = 1.2918 -> ‹KŠi‰» (363/281) / (51/6) = 10.9804
‚±‚±‚ÅAIgG|CagA|‚ðŠî€‚É‚µ‚Ä‚à‚ ‚Ü‚èŽg‚¢“¹‚ª‚ ‚è‚Ü‚¹‚ñB‚»‚±‚ÅA‚±‚ê‚à„’è•êW’c‚ÉŠg’£‚µ‚Ă݂܂·B
|
|
ˆÝ‚ª‚ñœëг |
ˆÝ‚ª‚ñ”ñœëг |
¬Œv |
|
IgG + CagA+ |
363: a4 |
13993: c4 |
14356: n14 |
|
IgG + CagA| |
115: a3 |
5079:c3 |
5194: n13 |
|
IgG|CagA+ |
27: a2 |
3835: c2 |
3862: n12 |
|
IgG|CagA| |
6: a1 |
2540: c1 |
2546: n11 |
|
¬Œv |
511: m1 |
25447: m0 |
25958 :T |
R1 = 6/2546 RelativeR1 = (6/2546) / (511/25958) = 0.1197135
R2 = 27/3862 RelativeR2 = (27/3862) / (511/25958) = 0.355141835
R3 = 115/5194 RelativeR3 = (115/5194) / (511/25958) = 1.124724675
R4 = 363/14356 RelativeR4 = (363/14356) / (511/25958) = 1.284468634
‚±‚±‚Ŋð•êW’c‚݂̈ª‚ñƒŠƒXƒN511/25958‚ðŽg—p‚µ‚Ü‚·B
‚±‚ê‚ÍARelativeR1‚ðŠî€‚É‚·‚邯æ‚قǂ̒l‚Æ‚½‚¢‚Ö‚ñ‹ß‚‚È‚Á‚Ä‚¢‚Ü‚·B‚»‚±‚Å„’è•êW’c‚ª—LŒø‚Å‚ ‚邯l‚¦A‚±‚¿‚ç‚Ì’l‚ðŽg—p‚µ‚Ü‚·B
ƒyƒvƒVƒm[ƒQƒ“‚ÌŒ‹‰Ê‚àŽŸ‚Ì—l‚ɃNƒ‰ƒX•ª‚¯‚µ‚Ä‚»‚ÌRisk Ratio‚ðƒIƒbƒY”ä‚©‚çŒvŽZ‚µ‚Ä‚¢‚Ü‚·B
|
|
ˆÝ‚ª‚ñœëг |
ˆÝ‚ª‚ñ”ñœëг |
¬Œv |
|
Pepsinogen 3+ |
227: a4 |
136: c4 |
363: n14 |
|
Pepsinogen 2+ |
171: a3 |
141:c3 |
312: n13 |
|
Pepsinogen + |
21: a2 |
18: c2 |
29: n12 |
|
Pepsinogen | |
92: a1 |
216: c1 |
308: n11 |
|
¬Œv |
511: m1 |
511: m0 |
1022: T |
RelativeR1 = 92/216 = 0.425925925 -> 1.0‚É‹KŠi‰»
RelativeR2 = 21/18 = 1.1667 -> ‹KŠi‰» (21/18) / (92/216) = 2.739
RelativeR3 = 171/141 = 1.212765957 -> ‹KŠi‰» (171/141) / (92/216) = 2.847
RelativeR4 = 227/136 = 1.669117647-> ‹KŠi‰» (227/136) / (92/216) = 3.919
|
|
ˆÝ‚ª‚ñœëг |
ˆÝ‚ª‚ñ”ñœëг |
¬Œv |
|
Pepsinogen + ~3+ |
419: a |
295: c |
714: n14 |
|
Pepsinogen | |
92: b |
216: d |
308: n11 |
|
¬Œv |
511: m1 |
511: m0 |
1022: T |
1.638 < RR = 1.965 < 2.356 0.271 < RD = 0.288 < 0.307
1.305 < RRD = 1.420 < 1.546 0.230 < RDD = 0.243 < 0.256
2.506 < OR = 3.335 < 4.438
0.308 < PARP = 0.403 < 0.487 0.132 < PARPD = 0.174 < 0.214
‘î•ñƒGƒ“ƒgƒƒs[F1.8314
‘ŠŒÝî•ñƒGƒ“ƒgƒƒs[F0.05153
޾гî•ñƒGƒ“ƒgƒƒs[F1.000
‘ŠŒÝ/‘ƒGƒ“ƒgƒƒs[F2.8138%
ðŒî•ñƒGƒ“ƒgƒƒs[F0.9485
‘ŠŒÝ/޾гî•ñƒGƒ“ƒgƒƒs[F5.1533%
|
|
ˆÝ‚ª‚ñœëг |
ˆÝ‚ª‚ñ”ñœëг |
¬Œv |
|
Pepsinogen 3+ |
227: a4 |
6773: c4 |
7000: n14 |
|
Pepsinogen 2+ |
171: a3 |
7022:c3 |
7193: n13 |
|
Pepsinogen + |
21: a2 |
896: c2 |
917: n12 |
|
Pepsinogen | |
92: a1 |
10756: c1 |
10848: n11 |
|
¬Œv |
511: m1 |
25447: m0 |
25958 :T |
‚±‚±‚ŊÍĂѕêW’c‚݂̈ª‚ñƒŠƒXƒN511/25958‚ðŽg—p‚µ‚Ü‚·B
R1 = 92/10848 RelativeR1 = (92/10848) / (511/25958) = 0.430812681
R2 = 21/917 RelativeR2 = (21/917) / (511/25958) = 1.163322926
R3 = 171/7193 RelativeR3 = (171/7193) / (511/25958) = 1.207636909
R4 = 227/7000 RelativeR4 = (227/7000) / (511/25958) = 1.64732066
R234 = 419/15110 RelativeR234 = (419/15110) / (511/25958) =1.408639579
ƒyƒvƒVƒm[ƒQƒ“‚ª{‚Å‚ ‚邯‚¨‚¨‚æ‚»1.4”{‚ÌƒŠƒXƒN‚ƂȂ邱‚ƂɂȂè‚Ü‚·B
ŽŸ‚ɃsƒƒŠ‹ÛŠ´õ‚ƃyƒvƒVƒm[ƒQƒ“‚Ìó‘Ô‚Ì‘g‚݇‚킹‚𒲸‚µ‚Ä‚¢‚Ü‚·B‚»‚ÌWŒv‚ÍŽŸ‚Ì—l‚ɂȂè‚Ü‚·B
|
|
ˆÝ‚ª‚ñœëг |
ˆÝ‚ª‚ñ”ñœëг |
¬Œv |
|
D: H.P.| PG+ |
17: a2 |
20: c2 |
37: n14 |
|
C: H.P.+ PG+ |
402: a4 |
275: c4 |
677: n13 |
|
B: H.P.+ PG| |
76: a3 |
108:c3 |
184: n13 |
|
A: H.P.| PG| |
16: a1 |
108: c1 |
124: n11 |
|
¬Œv |
511: m1 |
511: m0 |
1022: T |
RelativeRA = 16/108 = 0.148148148 -> 1.0‚É‹KŠi‰»
RelativeRB = 76/108 = 0.703703703 -> ‹KŠi‰» (76/108) / (16/108) = 4.75
RelativeRC = 402/275 = 1.461818182 -> ‹KŠi‰» (402/275) / (16/108) = 9.867
RelativeRD = 17/20 = 0.85 -> ‹KŠi‰» (17/20) / (16/108) = 5.7375
RelativeBCD = (495/403) / (16/108) = 8.291
|
|
ˆÝ‚ª‚ñœëг |
ˆÝ‚ª‚ñ”ñœëг |
¬Œv |
|
D: H.P.| PG+ |
17: a2 |
996: c2 |
1013: n14 |
|
C: H.P.+ PG+ |
402: a4 |
13695: c4 |
14097: n13 |
|
B: H.P.+ PG| |
76: a3 |
5378:c3 |
5454: n13 |
|
A: H.P.| PG| |
16: a1 |
5378: c1 |
5394: n11 |
|
¬Œv |
511: m1 |
25447:m0 |
25958 :T |
‚±‚±‚ŊÍĂѕêW’c‚݂̈ª‚ñƒŠƒXƒN511/25958(131.2376‘Î10–œl/”N)‚ðŽg—p‚µ‚Ü‚·B
RA = 16/5378 = 19.8339(‘Î10–œl/”N) RelativeRA = (16/5378) / (511/25958) = 0.151129593
RB = 76/5378 = 94.2110(‘Î10–œl/”N) RelativeRB = (76/5378) / (511/25958) = 0.717865566
RC = 402/13695 = 195.69185(‘Î10–œl/”N) RelativeRC = (402/13695) / (511/25958) = 1.491126006
RD = 17/996 = 113.7885(‘Î10–œl/”N) RelativeRD = (17/996) / (511/25958) = 0.867041551
RBCD = 495/20564
= 160.4746(‘Î10–œl/”N) RelativeRBCD = (495/20564) / (511/25958) =1.222778888
‚»‚µ‚ÄA
RBCD = 495/20564 = 0.02407 (2.4%) = 2407(‘Î10–œl)@
= 160.475(‘Î10–œl/”N)
‚»‚µ‚ÄA•½‹Ï”N—î57.3΂ł ‚邱‚Æ‚ðl‚¦‚»‚ꂪ15”N’ÇÕ’²¸‚³‚ꂽ‚̂ł·‚©‚ç57.3 – 72.3΂ɂȂè‚Ü‚·B‚»‚Ì•êW’c‚Ì•½‹ÏˆÝ‚ª‚ñœëгƒŠƒXƒN‚ÍA(131.2376‘Î10–œl/”N)‚Å‚µ‚½B
’nˆæ‚ª‚ñ“o˜^‘S‘„Œv’l8) (¡Œã‚±‚̃f[ƒ^‚ð‚±‚Ì‚æ‚¤‚ɌĂт܂·) ‚Ì2003”N‚݂̈ª‚ñœëг—¦‚ðŒ©‚Ü‚·‚ÆŽŸ‚Ì—l‚ɂȂÁ‚Ä‚¢‚Ü‚·B
2003@ˆÝ‚ª‚ñœëг—¦(‘Î10–œl/”N)
55-59Î60-64Î65-69Î70-74Î
’j—Œv 103.2 148.1 218.4 302.3
’jŒv@ 148.4 230.5 342.4 483.5
—Œv@ 59.2 70.4 106.5 150.5
‚±‚ê‚Æ”ä‚ׂĂ̂â‚â’á‚¢‚Å‚·‚ªA“Á•Ê‚¨‚©‚µ‚È„’è‚Æ‚Íl‚¦‚É‚‚‚È‚è‚Ü‚·B
‚±‚ê‚æ‚èA‚¹‚¢‚º‚¢ƒsƒƒŠ‹ÛŠ´õ‚ƃyƒvƒVƒm[ƒQƒ“ó‘ԂŃOƒ‹[ƒv•ª‚¯‚µ‚½ƒŠƒXƒN‚Ì‘‰Á‚Í‚¹‚¢‚º‚¢2”{’ö“x‚Æ‚¢‚¤‚±‚ƂɂȂè‚Ü‚·B‚±‚ê‚ÍA‘S‘݂̂̈ª‚ñ‚̜늳—¦‚É”ä‚ב巂 ‚è‚Ü‚¹‚ñB‘½•ªƒ‰ƒ“ƒ_ƒ€ƒTƒ“ƒvƒŠƒ“ƒO‚ª‚¤‚Ü‚Œ¾‚Á‚Ä‚¢‚È‚¢‚Æ‚¢‚¤‚±‚Æ‚É‚È‚é‚ÆŽv‚¢‚Ü‚·B‚±‚Ì511–¼‚̃f[ƒ^‚Å•êW’cA“ú–{l‘S‘̂ɓK‰ž‚·‚邱‚Ƃɂ͖â‘肪‚ ‚邱‚ƂɂȂè‚Ü‚·B‚±‚ꂪA‘Š‘ÎƒŠƒXƒN‚̊댯‚ȂƂ±‚ë‚Å‚·B•K‚¸â‘ÎƒŠƒXƒN‚àŽQÆ‚µ‚½‚¢‚Æ‚±‚ë‚Å‚·B
‚»‚±‚ÅA‚©‚Ȃ葼‚ÅŒ¾‚í‚ê‚Ä‚¢‚邱‚ƂƷ‚ª‚ ‚邿‚¤‚ÉŠ´‚¶‚Ü‚·‚Ì‚ÅA‚»‚Ì‘¼‚̃f[ƒ^‚àŽQÆ‚µ‚Ă݂܂·B‚Ü‚¸AYoshida“™@9)‚ðŒ©‚Ä‚Ý‚Ü‚·B
‚±‚̘_•¶‚ðŽQƂɂ·‚邯
|
|
ˆÝ‚ª‚ñœëг |
ˆÝ‚ª‚ñ”ñœëг |
¬Œv |
|
D: H.P.|CAG+ |
4: a2 |
29: c2 |
33: n14 |
|
C: H.P.+ CAG+ |
44: a4 |
1285: c4 |
1329: n13 |
|
B: H.P.+ CAG| |
37: a3 |
2291:c3 |
2328: n12 |
|
A: H.P.|CAG| |
2: a1 |
963: c1 |
965: n11 |
|
¬Œv |
87: m1 |
4568: m0 |
4655: T |
IgG|CagA|‚ðŠî€‚Æ‚µ‚Ä(1.0)A‘¼‚ÌRrelative Risk‚ðŽŸ‚Ì—l‚ÉŒvŽZ‚µ‚Ä‚¢‚Ü‚·B
RelativeR1 = 2/965 = 0.0020725 -> 1.0‚É‹KŠi‰»
RelativeR2 = 37/2328 = 0.01589 -> ‹KŠi‰» (37/2328) x (965/2) = 7.6686
RelativeR3 = 44/1329 = 0.03311 -> ‹KŠi‰» (44/1329) x (965/2) = 15.9744
RelativeR4 = 4/33 = 0.1212 -> ‹KŠi‰» (4/33) x (965/2) = 58.48485
ˆÝ‚ª‚ñœëгƒŠƒXƒN(’ÇÕ16”N)‚ÍA48.4 – 64.3΂Å
87/4655 = 116.8099 (‘Î10–œl/”N)
‚±‚ê‚ÍAæ‚Ù‚Ç‚Ì(131.2376‘Î10–œl/”N)F57.3 – 72.3΂Ƒ傫‚ˆá‚¢‚Ü‚¹‚ñB”N—î·‚ðl‚¦‚邯‘Ó–‚¾‚Æl‚¦‚ç‚ê‚Ü‚·B
‚µ‚©‚µ‚±‚ÌŒ‹‰Ê‚ÍA‘O‚ÌŒ‹‰Ê‚ÆAŒQABŒQACŒQADŒQ‚̔䗦‚ª‚©‚È‚èˆá‚¢‚Ü‚·‚Ì‚ÅA‚»‚ÌŒŸ’è•û–@‚ª‚ǂ̒ö“x³Šm‰»‚ðŠm”F‚·‚邽‚߂ɂ¢‚ë‚¢‚ë‚ȃf[ƒ^‚ðW‚߂Ă݂܂·B
|
|
A |
B |
C |
D |
Total |
’ |
|
ìèˆã‰È‘åŠw lŠÔƒhƒbƒO ˆäãŽ10) |
33.816% (2802) |
40.97% (3395) |
25.21% (2089) |
8286 |
1995/2009 |
|
|
“Œ‹àŒ’Nf’f 11) |
56% (1504) |
14% (372) |
27% (728) |
3% (91) |
2695 |
H23: 2011 |
|
“Œ‹à’j« 11) |
48% |
17% |
31% |
4% |
724 |
|
|
“Œ‹à—« 11) |
59% |
13% |
25% |
3% |
1971 |
|
|
˜a‰ÌŽRŒ§’j«9) |
20.730% (965) |
50.01% (2328) |
28.55% (1329) |
0.7089% (33) |
4655 |
1994/1995 age40-59 |
|
‹T“c’†‰›‘¼12) |
47.60% (3324) |
30.56% (2134) |
15.495% (1082) |
6.344% (443) |
6983 |
1995/1997 |
|
‹T“c’j«12) |
47.26% (2260) |
31.14% (1489) |
14.91% (713) |
6.69% (320) |
4782 |
1995/1997 |
|
‹T“c—«12) |
48.34% (1064) |
29.305% (645) |
16.765% (369) |
5.59% (123) |
2201 |
1995/1997 |
|
‹T“c60–¢–ž ’j«12) |
49.95% 2103 |
31.045% 1307 |
13.37% 563 |
5.63% 237 |
4210 |
|
|
‹T“c60ˆÈã ’j«12) |
27.45% 157 |
31.82% 182 |
31.47% 180 |
14.51% 83 |
572 |
|
|
‹T“c60–¢–ž —«12) |
49.71% 971 |
29.24% 571 |
16.33% 319 |
4.71% 92 |
1953 |
|
|
‹T“c60ˆÈã —«12) |
37.5% 93 |
29.84% 74 |
20.16% 50 |
6.45% 31 |
248 |
|
|
“Œ‹ž“sŒŸf 14) |
70.651% 10628 |
19.363% 2911 |
9.134% 1374 |
0.8642% 130 |
15043 |
2007 ˆÝ‚ª‚ñ12 |
|
¼“Œ‹žŽsŒŸf@15) |
57.226% 8830 |
18.94% 2923 |
19.96% 3080 |
3.87% 597 |
15430 |
H23/H24 2011/2013 |
|
–k—¢•a‰@ ’èŠúŒ’Nf’f16) |
73.8% 1098 |
12.6% 188 |
11.8% 175 |
1.8% 27 |
1488 |
2011/6 E55–¼‚ðAŒQ‚©‚眊O |
|
–k—¢40‘ã16) |
81.34% 667 |
10.24%: 84 |
7.68%: 63 |
0.73%: 6 |
820 |
|
|
–k—¢50‘ã16) |
71.43% 400 |
12.50%: 70 |
13.75%: 77 |
2.32%: 13 |
560 |
|
|
–k—¢60‘ã16) |
52.94% 81 |
20.915%: 32 |
21.57%: 33 |
4.575%: 7 |
153 |
|
|
–k—¢70‘ã16) |
50.0% 5 |
20.0%: 2 |
20.0%: 2 |
10.0%: 1 |
10 |
|
|
“¡Ž}ŽsŒŸf17) |
58.588% 3974 |
18.1925% 1234 |
19.6815% 1335 |
3.538% 240 |
6783 |
H25 2013 |
|
“¡Ž}ŽsŒŸf17) 39Î |
88.191% 351 |
9.045% 36 |
2.764% 11 |
0% 0 |
398 |
|
|
“¡Ž}ŽsŒŸf17) 40Î |
85.054% 313 |
9.7826% 36 |
4.0761% 15 |
1.087% 4 |
368 |
|
|
“¡Ž}ŽsŒŸf17) 45Î |
80.1887% 255 |
13.522% 43 |
4.717% 15 |
1.572% 5 |
318 |
|
|
“¡Ž}ŽsŒŸf17) 50Î |
77.224% 217 |
16.726% 47 |
5.694% 16 |
0.356% 1 |
281 |
|
|
“¡Ž}ŽsŒŸf17) 55Î |
67.062% 226 |
20.178% 68 |
10.979% 37 |
1.7804% 6 |
337 |
|
|
“¡Ž}ŽsŒŸf17) 60Î |
62.828% 311 |
20.0% 99 |
15.1515% 75 |
2.020% 10 |
495 |
|
|
“¡Ž}ŽsŒŸf17) 65Î |
54.172% 448 |
22.491% 186 |
21.282% 176 |
2.0556% 17 |
827 |
|
|
“¡Ž}ŽsŒŸf17) 70Î |
50.906% 337 |
20.544% 136 |
25.3776% 168 |
3.172% 21 |
662 |
|
|
“¡Ž}ŽsŒŸf17) 75Î |
51.440% 250 |
18.519% 90 |
25.926% 126 |
4.115% 20 |
486 |
|
|
“¡Ž}ŽsŒŸf17) 76Î~ |
48.487% 1266 |
18.882% 493 |
26.6565% 696 |
5.975% 156 |
2611 |
|
|
‰¡{‰êŽsŒŸf18) |
53.00% 11539 |
27.0026% 5879 |
16.999% 3701 |
2.999% 653 |
21772 |
H24: 2012 108ˆÝ‚ª‚ñ |
|
‹ž“s•{ 19) |
22.591% 647 |
38.198% 1094 |
36.802% 1054 |
2.409% 69 |
2864 |
1987 |
ã‚Ì’²¸‚ÍŽå‚ÉA1995”N ‚Æ2010”N ‚É“ñ•ª‰»‚µ‚Ü‚·B‚»‚ê‚ÍA‰º‚Ì}‚ÅŒ¾‚¤‚ÆÔ‚Ìü‚ƃIƒŒƒ“ƒW‚Ìü‚ɑГ–‚µ‚Ü‚·B‚Ü‚½A2008-2010‚Ì–¼ŒÃ‰®‚ł̒²¸‚Å‚ÍAƒsƒƒŠ‹ÛŠ´õ—¦ ‚Í35`39Î19.6%A40`49Î25.8%A50`59Î39.4%A60`69Î50.3%‚ÅA‘S‘̂łÍ36.4%‚Å‚µ‚½B‚±‚ê‚ðŽQƂɂµ‚Ä‚à”N—Žá‚¢‚Ù‚ÇA’²¸”N‚ªV‚µ‚¢‚Ù‚ÇAƒsƒƒŠ‹ÛŠ´õ—¦‚àƒyƒvƒVƒm[ƒQƒ“—z«—¦‚à’á‚‚È‚éŒXŒü‚ª‚ ‚è‚Ü‚·Bˆê•û’j—ŠÔ‚ł̖¾Šm‚È·‚ÍŒ©‚ç‚ê‚È‚¢‚悤‚Å‚·B
ƒOƒ‹[ƒvAABACAD‚ÌŠ„‡‚Ì’²¸”N‘ã‚Æ‚Ì‘ŠŠÖ‚ðŒ©‚Ä‚Ý‚Ü‚·B

‘ŠŠÖŒW”@0.821155079

‘ŠŠÖŒW”@-0.82037

‘ŠŠÖŒW”@-0.584084829

‘ŠŠÖŒW”@-0.001533636
ƒOƒ‹[ƒvA‚ÍA”N‘ã‚Æ‚Ì‘ŠŠÖŒW”0.82‚Æ‚©‚Ȃ苂‘ŠŠÖ‚µ‚Ä‚¢‚Ü‚·BB‚à-0.82‚Æ‚©‚Ȃ苂•‰‚É‘ŠŠÖ‚µ‚Ä‚¢‚Ü‚·B‚±‚ê‚ç‚ÍA’²¸”N“x‚ªV‚µ‚¢‚قǂ܂½”N—Žá‚¢‚قǃsƒƒŠ‹Û‚ÌŠ´õ—¦‚͉º‚ª‚Á‚Ä‚¢‚Ü‚·‚Ì‚ÅA‚©‚È‚èˆÓ–¡‚Ì‚ ‚éŠÖŒW‚ł܂³‚É‚»‚Ì‚±‚Æ‚ð•\‚µ‚Ä‚¢‚Ü‚·Bˆê•ûƒOƒ‹[ƒvC‚͂ǂ¿‚ç‚©‚Æ‚¢‚¤‚Æ•‰‚Ì‘ŠŠÖ‚ðŽ¦‚µ‚Ä‚¨‚èA‚±‚ê‚Í”NXƒsƒƒŠ‹Û‚̜늳—¦‚ª‰º‚ª‚Á‚Ä‚¢‚邱‚ƂƌXŒü‚Æ‚µ‚Ă͈ê’v‚µ‚Ü‚·‚ªA–¾Šm‚È•ûŒü«‚ªo‚Ä‚¢‚邯‚ÍŒ¾‚¦‚È‚¢ó‘Ô‚Å‚·B‘¼‚Ì—vˆö‚ª”wŒã‚É‚ ‚邱‚Æ‚ð”Û’è‚Å‚«‚Ü‚¹‚ñB‚Ü‚½ƒOƒ‹[ƒvD‚ÍA‘ŠŠÖ‚ª‚Ù‚Ú‚ ‚è‚Ü‚¹‚ñB‚±‚ê‚à‚µ–Ê”’‚¢ŠÖŒW‚Å‚·‚ªA‰½‚ç‚©‚̈Ó}‚ª‚ ‚è”NXƒsƒƒŠ‹Û‚̜늳—¦‚ª‰º‚ª‚Á‚Ä‚¢‚邱‚Æ‚ð’ Á‚µ‚É‚µ‚Ä‚¢‚é‚Ì‚©‚à‚µ‚ê‚Ü‚¹‚ñBƒOƒ‹[ƒvAAB‚̓f[ƒ^‚Æ‚µ‚ĈÀ’肵‚Ä‚¢‚邪ACAD‚͂܂¾ˆÀ’肵‚Ä‚¢‚È‚¢‚Æ‚àŒ¾‚¦‚é‚©‚à‚µ‚ê‚Ü‚¹‚ñB‚±‚ê‚ÍAƒyƒvƒVƒm[ƒQƒ“‚Ìó‘Ô‚¾‚¯‚ŃOƒ‹[ƒv•ª‚¯‚·‚邱‚Æ‚ðŽ¦´‚µ‚Ä‚¢‚é‚Ì‚©‚à‚µ‚ê‚Ü‚¹‚ñB
‚»‚±‚ÅAŽŽ‚µ‚ÉCD‚ðˆê‚‚̃Oƒ‹[ƒv‚É‚µ‚Ă݂܂µ‚傤B

‘ŠŠÖŒW”@-0.583495703
–¾Šm‚È‘ŠŠÖ‚ÍŽ¦‚µ‚Ă͂¢‚Ü‚¹‚ñB‚µ‚©‚µAƒIƒtƒZƒbƒg‚ª‚©‚©‚Á‚½‰ñ‹A’¼ü‚͈ø‚¯‚»‚¤‚ÈŒ`‚ð‚µ‚Ä‚¢‚Ü‚·B‚±‚ê‚ÍAƒyƒvƒVƒm[ƒQƒ“‚Ìó‘Ô‚ªƒsƒƒŠ‹ÛŠ´õ—L–³‚Æ‚»‚êˆÈŠO‚Ì‘¼‚Ì—vˆö‚Ì—¼•û‚ÉŠÖ˜A‚µ‚Ä‚¢‚é‚Ì‚©‚à‚µ‚ê‚Ü‚¹‚ñB‚Ü‚½A‰º‚̃Oƒ‰ƒt‚ð‚݂ĂàˆÝ‚ª‚ñœëг‚Æ‘ŠŠÖ‚µ‚Ä‚¢‚é‚̂͊ԈႢ‚ª‚È‚¢‚ÆŽv‚í‚ê‚Ü‚·‚Ì‚ÅAŒã‚قǃyƒvƒVƒm[ƒQƒ“‚݂̂̉ðÍ‚ðs‚Á‚Ă݂½‚¢‚ÆŽv‚¢‚Ü‚·B
21)

ã‚Ì•\‚Å‚àAƒsƒƒŠ‹Û‚̜늳—¦‚ª’j—‚Ɉˑ¶‚µ‚È‚¢‚±‚Æ‚ðŒ©‚Ü‚µ‚½‚ª‚±‚̃Oƒ‰ƒt‚à‚»‚Ìl‚¦‚ðŽxŽ‚µ‚Ä‚¢‚邯l‚¦‚ç‚ê‚Ü‚·B
‚±‚ê‚ðl‚¦‚邯A‚¨‚¨‚Þ‚Ëã‚ɂ܂Ƃ߂½’²¸‚͑Ó–‚Æ‚¢‚¤‚±‚Æ‚ªo—ˆ‚é‚©‚ÆŽv‚¢‚Ü‚·B
‚½‚¾A˜a‰ÌŽRŒ§’j«‚ÌŒ‹‰Ê‚ÅAD‚ÌŠ„‡‚ª‘¼‚Æ”ä‚×”¼•ªˆÈ‰º‚ƂȂÁ‚Ä‚¨‚èA‚»‚ê‚Ì‚¹‚¢‚à‚ ‚é‚Ì‚©‰º‚ÉŽ¦‚·ˆÝ‚ª‚ñœëг‚ÉŠÖ‚µ‚Ä‚ÌD‚ÌA‚É”ä‚ׂ½‘Š‘ÎƒŠƒXƒN”䂪‘¼‚Æ”ä‚׋ɒ[‚ɑ傫‚‚È‚Á‚Ä‚¢‚Ü‚·B‚Ü‚½A‘¼‚Ì’l‚à’ÇÕŠúŠÔ‚ª’Z‚AœëгŽÒ‚ª0‚Å‚ ‚é“™‚Ü‚¾\•ª‚ȃf[ƒ^‚ª‚ ‚邯‚ÍŒ¾‚¦‚Ü‚¹‚ñB‚»‚µ‚ÄA–{—ˆ‹^Ž—•ª—Þ‚à‚ ‚é‚Í‚¸‚Å‚·‚ª‚»‚Ì’²¸‚ª‚³‚ê‚Ä‚¢‚Ü‚¹‚ñB‚»‚µ‚ÄA‚»‚ꂼ‚ê‚݂̈ª‚ñœëг—¦‚ð‚Ü‚Æ‚ß‚é‚ÆŽŸ‚Ì•\‚ɂȂè‚Ü‚·B
|
|
A |
B |
C |
D |
Total |
’ÇÕŠúŠÔ |
|
ìèˆã‰È‘åŠw lŠÔƒhƒbƒO ˆäãŽ10) |
0% (0/260) |
2.1% (12/571) |
5.77% (18/312) |
2.625% (30/1143) |
12”N |
|
|
0% 0/2802 |
0.21% 7/3395 |
1.87% 39/2089 |
0.555% 46/8286 |
14”N |
||
|
˜a‰ÌŽRŒ§’j«9) |
0.207% (2/965) |
1.589% (37/2328) |
3.311% (44/1329) |
12.121% (4/33) |
1.869% 87/4655 |
16”NŠÔ 40]59 |
|
˜a‰ÌŽR 13) |
0% 0/967 |
0.81% 19/2341 |
1.8% 24/1316 |
6.45% 2/31 |
0.97% 45/4655 |
7.7”NŠÔ |
|
‹T“c’†‰›‘¼12) |
0.2106% 7/3324 |
0.2812% 6/2134 |
1.6636% 18/1082 |
2.709% 12/443 |
0.6158% 43/6983 |
4.7”N |
|
‹T“c’j«12) |
0.3097% 7/2260 |
0.2686% 4/1489 |
2.3843% 17/713 |
3.125% 10/320 |
0.79465% 38/4782 |
4.7”N |
|
‹T“c—«12) |
0% 0/1064 |
0.3101% 2/645 |
0.2710% 1/369 |
1.6260% 2/123 |
0.22716% 5/2201 |
4.7”N |
|
‹T“c60–¢–ž ’j«12) |
0.238% 5/2103 |
0.0765% 1/1307 |
1.954% 11/563 |
1.688% 4/237 |
0.50% 21/4210 |
4.7”N |
|
‹T“c60ˆÈã ’j«12) |
1.274% 2/157 |
1.648% 3/182 |
3.333% 6/180 |
7.229% 6/83 |
2.972% 17/572 |
4.7”N |
|
‹T“c60–¢–ž —«12) |
0% 0/971 |
0.175% 1/571 |
0% 0/319 |
0% 0/92 |
0.051% 1/1953 |
4.7”N |
|
‹T“c60ˆÈã —«12) |
0% 0/93 |
1.35% 1/74 |
2% 1/50 |
6.45% 2/31 |
1.61% 4/248 |
4.7”N |
|
‹ž“s•{ 19) |
0.31% 2/647 |
0.14% 15/1094 |
3.8% 41/1054 |
4.34% 3/69 |
2.13% 61/2864 |
1987-1996 10”NŠÔ |
A‚ÍA‚Ù‚ÚS”z‚È‚µACD‚ª—v’ˆÓ‚Ƃ̌XŒü‚ÍŒ©‚ÄŽæ‚ê‚Ü‚·‚ªA‚Æ‚‚ÉD‚͂΂ç‚‚«‚ª‘å‚«‚A‚±‚ꂾ‚¯‚ł͖¾Šm‚ÈŒXŒü‚ÍŒ©‚ÄŽæ‚ê‚Ü‚¹‚ñ‚Ì‚ÅA‚Ü‚½A’ÇÕŠúŠÔ‚ÌŠÖŒW‚©œëгŽÒ‚O‚Ì—“‚ ‚è‚Ü‚·B‚»‚±‚ÅA‚à‚¤‚µÚ‚µ‚Œ©‚Ă݂܂·B
March/1995-Feb/1997 12)
Œ’Nf’f@‹T“c’†‰›•a‰@@&@–‹’£ƒNƒŠƒjƒbƒN@6983/9293@4.7”N’ÇÕ’²¸
H.pylori
& CAG (ˆÝ”S–Œ‚̈Þk) •½‹Ï”N—î@48.9 (SD=8.5)
A:
47.1 (8.1), B: 49.2 (8.3), C: 52.0 (8.5), D: 53.3 (8.8)
|
|
ˆÝ‚ª‚ñœëг |
ˆÝ‚ª‚ñ”ñœëг |
¬Œv |
|
D: H.P.|CAG+ |
12: a2 |
431: c2 |
443: n14 |
|
C: H.P.+ CAG+ |
18: a4 |
1064: c4 |
1082: n13 |
|
B: H.P.+ CAG| |
6: a3 |
2128:c3 |
2134: n12 |
|
A: H.P.|CAG| |
7: a1 |
3317: c1 |
3324: n11 |
|
¬Œv |
43: m1 |
6940: m0 |
6983: T |
RA = 7/3324 = 44.8063(‘Î10–œl/”N) RelativeRA = (7/3324) / (43/6983) = 0.341987798
RB = 6/2134 = 59.8217(‘Î10–œl/”N) RelativeRB = (6/2134) / (43/6983) = 0.456594232
RC = 18/1082 = 353.95446(‘Î10–œl/”N) RelativeRC = (18/1082) / (43/6983) = 2.70158621
RD = 12/443 = 576.3412(‘Î10–œl/”N) RelativeRD = (12/443) / (43/6983) = 4.398971075
RBCD = 36/3659
= 209.3352(‘Î10–œl/”N) RelativeRBCD = (36/3659) / (43/6983) =1.597767849
‚±‚Ì’²¸‘S‘݂̂̈ª‚ñœëг—¦‚ÍA43/6983 = 0.131017(131.0173‘Î10–œl/”N)‚ƂȂè‚Ü‚·B‚±‚ê‚ðŠî€‚É‘Š‘Î”ä‚ðŒvŽZ‚µ‚Ä‚¢‚Ü‚·B
ˆê•û’nˆæ‚ª‚ñ“o˜^‘S‘„Œv’l‚݂̈ª‚ñœëг—¦‚ÍA2000”N‚Å
50|54΂ÅA’j—Œv64.3 (–œl/”N)A’j«88.7 (–œl/”N)A—«40.0 (–œl/”N)
‚ƂȂÁ‚Ä‚¢‚Ü‚·B‚±‚ê‚ÍA‚©‚È‚èˆÝ‚ª‚ñœëг—¦‚ªˆá‚¢‚Ü‚·B‚±‚ê‚ÍA‰½‚É‹Nˆö‚·‚é‚̂łµ‚傤B’nˆæ·‚̉”\«‚ª‚ ‚è‚Ü‚·‚Ì‚ÅAç—tŒ§‚̃f[ƒ^‚ð‘S‘‚ª‚ñœëгƒ‚ƒjƒ^ƒŠƒ“ƒOWŒv22) ‚É‚æ‚邯2003”N‚ÅA”N—î’²®•½‹Ï’j—Œv37.5(–œl/”N) 50|54΂Œj«55.7(–œl/”N) —«28.4(–œl/”N)
ç—tŒ§‚Í‘S‘•½‹Ï‚É”ä‚×’á‚¢•û‚Å‚·‚ªA‚±‚ÌŒ‹‰Ê‚Í‚‚o‚Ä‚¢‚Ü‚·B‚»‚µ‚ÄA“Á‚É–Ú‚ðˆø‚‚Ì‚ªƒOƒ‹[ƒvD‚̜늳—¦‚Ì‚‚³‚Å‚·BŒ»ó‚ł͂»‚̈Ⴂ‚Í–¾”’‚Å‚·‚ªŒ´ˆö‚Í•s–¾‚Å‚·B
‚±‚ê‚ÍA•ªŠ„•\‚ð—˜—p‚µ‚½‚±‚ƂɋNˆö‚·‚é‚Ì‚©‚à‚µ‚ê‚Ü‚¹‚ñB•ªŠ„•\‚ÍA’ÇÕŠúŠÔ‚ª‚݂ȓ¯‚¶ê‡‚ÉŽg—p‚·‚邱‚Æ‚ªo—ˆ‚Ü‚·B‚»‚±‚ÅA’ÇÕŠúŠÔ‚𖾎¦“I‚ÉŽæ‚è“ü‚ê‚ÄŒvŽZ‚µ‚Ă݂܂·B
ƒŠƒXƒN”äAƒIƒbƒY”ä‚ÍŠÏŽ@ŠúŠÔ‚ª“¯‚¶‚Å‚ ‚邯‚Ì‘O’ñ‚ÅŒvŽZ‚·‚é‚à‚̂ł·B‚»‚±‚ÅA‚±‚ê‚ç‚ÌAABACADA(‚d)•]‰¿‚Å’†‚ɂ͈݂ª‚ñ‚̜늳ƒŠƒXƒN‚Æ‚µ‚ÄA”¶—¦‚Ì”äŠr‚ð‚µ‚Ä‚¢‚é‚à‚Ì‚ª‚ ‚è‚Ü‚·B‚±‚ê‚ÍÅ[‚Ì’ˆÓ‚ª•K—v‚È•û–@‚ðŽg—p‚µ‚Ä‚¢‚Ü‚·‚̂ł»‚Ì–â‘è“_‚ðq‚ׂ½‚¢‚ÆŽv‚¢‚Ü‚·B
‚±‚Ì”¶—¦‚Æ‚ÍA
|
|
ˆÝ‚ª‚ñœëг |
l‚˜”N |
|
ƒsƒƒŠ‹ÛŠ´õ |
478: a |
S1 |
|
ƒsƒƒŠ‹Û”ñŠ´õ |
33: b |
S0 |
|
¬Œv |
511: m1 |
S1+S0 |
•ªŠ„•\‚ð‚±‚Ì‚æ‚¤‚É–\˜I‘”n1A”ñ–\˜I‘”n0‚Ì‘ã‚í‚è‚ÉAl”‚˜’ÇÕŽžŠÔ‚ð•Ï”S1AS0‚Æ‚µAƒŠƒXƒNa/n1Ab/n0‚Ì‘ã‚í‚è‚ÉA”¶—¦a/S1Ab/S0‚ð‹‚ßA”ä‚â·‚ÌŒvŽZ‚ð‚·‚é‚à‚̂ł·B”¶—¦‚Í’ÇÕŠúŠÔ‚ÌŽžŠÔ‚ÉŠñ‚炸ƒCƒxƒ“ƒg‚Ì”¶‘¬“x‚ªˆê’è‚Å‚ ‚邯‚̉¼’è‚Ì‚à‚Æ‚ÉŒvŽZ‚³‚ê‚Ä‚¢‚Ü‚·B‚»‚µ‚Ä”¶—¦‚ÍAl”^(l”‚˜ŽžŠÔ)‚ÌŒvŽZ‚ð‚µ‚Ä‚¢‚Ü‚·‚Ì‚ÅAŽžŠÔ‚Ì‹t”‚ÌŽŸŒ³‚ð‚à‚‚±‚Æ‚ðˆÓ}‚µ‚Ä‚¢‚Ü‚·B‚‚܂葬“x‚ð•\‚»‚¤‚Æ‚µ‚Ä‚¢‚Ü‚·B
‚µ‚©‚µA‚±‚ê‚ÍÅ[‚Ì’ˆÓ‚ª•K—v‚Å‚·B‚È‚º‚È‚ç‚΂±‚ê‚ÍƒŠƒ“ƒS‚Ì”‚ƃ~ƒJƒ“‚Ì”‚ð”äŠr‚µ‚Ä‚¢‚é‚̂ƂɂȂ邩‚ç‚Å‚·B‚±‚ê‚Í—L–¼‚È–â‘è‚ŃGƒ‹ƒS[ƒh«A‚Ü‚½‚̓Gƒ‹ƒS[ƒh‰¼à‚Æ‚¢‚í‚ê‚é‚à‚̂ł·B‚»‚ê‚ÍAŽžŠÔ•½‹Ï‚ªƒTƒ“ƒvƒ‹•½‹Ï‚É“™‚µ‚¢A‚‚܂èAœëгŽÒ‚ÌŽžŠÔ‚ð’Ç‚Á‚Ä‹‚ß‚½Œ‹‰Ê‚Ɯ늳ŽÒ”‚ð‘‚₵‚½Œ‹‰Ê‚ª“¯‚¶‚É‚È‚é‚Æ‚̉¼’è‚ÉŠî‚¢‚Ä‚¢‚Ü‚·B‰¼à‚Æ‚¢‚í‚ê‚Ä‚¢‚é——R‚ÍØ–¾‚Å‚«‚È‚¢‚©‚ç‚ÅA‚±‚ê‚͈ê”Ê“I‚É”M•½t‚É‚ ‚é’èí‰ß’ö‚łͳ‚µ‚¢‚Æ‚³‚ê‚Ä‚¢‚Ü‚·B‚µ‚©‚µA”ñ”M•½tAƒI[ƒvƒ“ŒnA”ñ’èí‰ß’ö‚ł͂»‚ê‚ͳ‚µ‚‚È‚¢‚Æ‚¢‚¤‚Ì‚ªˆê”Ê“I‚Å‚·BlŠÔ‚Í”ñüŒ`A”ñ”M•½tAƒI[ƒvƒ“Œn‚Ì“®“I¶‚«•¨‚Å‚·B
‚±‚ê‚ÍAŒ¾‚¢Š·‚¦‚ê‚ÎŽžŠÔ‚ð’Ç‚Á‚Ä’²¸‚µ‚½ŠúŠÔ‚ÌƒŠƒXƒN‚Ì‘‚¦•û‚ÆAƒTƒ“ƒvƒ‹”‚ð‘‚₵‚½Û‚ÌƒŠƒXƒN‚Ì‘‚¦•û‚ª“¯‚¶‚Ƃ̉¼à‚ÉŠî‚¢‚Ä‚¢‚Ü‚·B‚µ‚©‚µA‚ª‚ñ‚̜늳—¦‚Í”N—î‚ðd‚˂邲‚Ƃɑ‚¦‚Ä‚¢‚«‚Ü‚·‚Ì‚ÅAƒTƒ“ƒvƒ‹‚ð‘‚₵‚½ê‡‚Ƃ͖¾‚ç‚©‚ɈႢ‚Ü‚·B‚æ‚Á‚ÄAœëг—¦‚̕ω»‚âA¶–½‹Èü‚Ì•]‰¿‚É‚±‚ÌŽw•W‚ð‚±‚Ì‚Ü‚ÜŽg‚¤‚±‚Ƃ̈́§‚Å‚«‚Ü‚¹‚ñB
ŒvŽZ‚·‚邱‚Ƃ͉”\‚Å‚·‚Ì‚ÅAˆê—á‚ðŽæ‚è’l‚ÌŒvŽZ‚µ‚Ă݂½‚¢‚ÆŽv‚¢‚Ü‚·B
˜a‰ÌŽRŒ§’j«‚Ì—á9)‚ðŽg—p‚µ‚Ă݂܂·B
|
|
ˆÝ‚ª‚ñœëг |
l‚˜”N |
|
ƒsƒƒŠ‹ÛŠ´õ |
81: a |
40909: S1 |
|
ƒsƒƒŠ‹Û”ñŠ´õ |
6: b |
13231: S0 |
|
¬Œv |
87: m1 |
S=S1+S0 |
”¶—¦IR = a/S1/c/S0 = 81/40909 /6/13231= (81x13231) / (6x40909) = 4.366
CI = IR x exp(}1.96 x ã( 1/a + 1/b)) = IR x exp(}0.8293) =10.01/1.905
IR = 4.366 (1.905/10.01)
‚±‚Ìhl‚˜”Nh‚ÍAœëг‚µ‚È‚©‚Á‚½•û‚ÍA‚»‚Ì’ÇÕŠúŠÔ‚·‚ׂÄAœëг‚µ‚½•û‚͜늳‚·‚é‚܂ł̎žŠÔ‚ð‰Á‚¦‚½‚à‚̂ɂȂè‚Ü‚·‚Ì‚ÅA‰º‹L•\‚Ìl”‚Æ’ÇÕŠúŠÔ‚ð‚©‚¯‚½‚à‚̂ɂ͂ȂÁ‚Ä‚¢‚Ü‚¹‚ñB‚µ‚©‚µAÚ×î•ñ‚ª‚È‚¢‚½‚ß‚»‚Ìhl‚˜”Nh‚Ì’l‚ð‚»‚Ì‚Ü‚ÜŽg—p‚µ‚Ü‚·B
|
|
ˆÝ‚ª‚ñœëг |
l” |
’ÇÕŠúŠÔ |
l‚˜”N |
”N—î |
|
ƒsƒƒŠ‹ÛŠ´õ |
81: a |
3657: n1 |
11.2: t1 |
40909: S1 |
49.8: Y1 |
|
ƒsƒƒŠ‹Û”ñŠ´õ |
6: b |
998: n0 |
13.3: t0 |
13231: S0 |
48.3:Y0 |
|
¬Œv |
87: m1 |
4655: n |
11.6: t |
54140: S |
49.5: Y |
‚±‚ê‚©‚ç•ªŠ„•\‚ð쬂µA‚»‚ê‚æ‚胊ƒXƒN”ä‚ȂǂðŒvŽZ‚·‚é‚ÆŽŸ‚Ì—l‚ɂȂè‚Ü‚·B
|
|
ˆÝ‚ª‚ñœëг |
ˆÝ‚ª‚ñ”ñœëг |
¬Œv |
|
ƒsƒƒŠ‹ÛŠ´õ |
81: a |
3576: c |
3657: n1 |
|
ƒsƒƒŠ‹Û”ñŠ´õ |
6: b |
992: d |
998: n0 |
|
¬Œv |
87: m1 |
4568: m0 |
4655: T |
RR = 3.684 (1.612/8.418): ‘Δ•W€Œë·0.4216
RD = 0.016 (0.016/0.016): ‘Δ•W€Œë·0.00347
OR = 3.745 (1.629/8.608) : ‘Δ•W€Œë·0.4246
lŒûŠñ—^Š„‡ = 0.678 (0.325/0.854)
ƒŠƒXƒN”ä3.684‚ƃIƒbƒY”ä3.745‚Í‚©‚È‚è‹ß‚¢‚Å‚·‚ªA”Ç—¦4.366‚Í‚ ‚Ü‚è‹ß‚‚ ‚è‚Ü‚¹‚ñB‚±‚ê‚ÍŽå‚ÉAƒsƒƒŠ‹ÛŠ´õŽÒ‚Ì’ÇÕŠúŠÔ‚ª11.2”N‚Å‚ ‚Á‚½‚̂ɑ΂µAƒsƒƒŠ‹Û”ñŠ´õŽÒ‚Ì’ÇÕŠúŠÔ‚ª13.3”N‚Æ’·‚¢‚¹‚¢‚Å‹N‚±‚Á‚Ä‚¢‚Ü‚·B‚©‚Æ‚¢‚Á‚ÄA’ÇÕ”N”A‰Šú”N—î‚̈Ⴄ‚à‚Ì‚ÉƒŠƒXƒN”ä‚ð‚»‚Ì‚Ü‚ÜŽg‚¤‚±‚Æ‚à–â‘肪‚ ‚è‚Ü‚·B
‚µ‚©‚à•½‹Ï”N—î49΂ł·‚Ì‚Å13”N’ÇÕ’²¸‚µ‚Ü‚·‚Æ61΂ł·‚Ì‚ÅAˆÝ‚ª‚ñ‚̜늳—¦‚ª‹}Œƒ‚Éオ‚é”N‘ã‚Å‚·‚Ì‚ÅAƒGƒ‹ƒS[ƒh‰¼à‚‚܂莞ŠÔ•½‹Ï‚ƃTƒ“ƒvƒ‹•½‹Ï‚ª“¯‚¶‚É‚È‚é‚Æ‚ÍŒ¾‚¦‚¸A”¶—¦‚ð“K‰ž‚·‚邱‚Ƃɖâ‘肪‚ ‚è‚Ü‚·B
’ÇÕ’²¸ŠúŠÔ‚ªˆá‚Á‚½ê‡‚̳‚µ‚¢ˆµ‚¢•û‚ðlŽ@‚µ‚Ă݂½‚¢‚ÆŽv‚¢‚Ü‚·B
|
|
ˆÝ‚ª‚ñœëг |
l” |
’ÇÕŠúŠÔ |
l‚˜”N |
”N—î |
|
ƒsƒƒŠ‹ÛŠ´õ |
81: a |
3657: n1 |
11.2: t1 |
40909: S1 |
49.8: Y1 |
|
ƒsƒƒŠ‹Û”ñŠ´õ |
6: b |
998: n0 |
13.3: t0 |
13231: S0 |
48.3:Y0 |
|
¬Œv |
87: m1 |
4655: n |
11.6: t |
54140: S |
49.5: Y |
‚±‚±‚ŃsƒƒŠ‹ÛŠ´õŽÒ‚ÌƒŠƒXƒNR1‚ÍA81/40909 = 198.00044 (‘Î\–œl/”N)
‚±‚±‚ŃsƒƒŠ‹Û”ñŠ´õŽÒ‚ÌƒŠƒXƒNR0‚ÍA6/13231 = 45.34805 (‘Î\–œl/”N)
‚±‚±‚Å‘S‘Ì‚ÌƒŠƒXƒNRt‚ÍA87/54140 = 160.69450 (‘Î\–œl/”N)
‚ªo”“_‚Å‚·B
æ‚Ù‚Çà–¾‚µ‚Ü‚µ‚½‚悤‚É‚±‚Ì•\‚Å‚ÍAl”‚˜’ÇÕŠúŠÔ‚ª³Šm‚É‚Íl‚˜”N‚ɂ͂Ȃè‚Ü‚¹‚ñ‚ªA‚©‚È‚è‹ß‚¢‚̂ł±‚Ì’l‚ðŽg‚Á‚ÄlŽ@‚µ‚Ă݂½‚¢‚ÆŽv‚¢‚Ü‚·B
’nˆæ‚ª‚ñ“o˜^‘S‘„Œv’l8)‚Ì2011”N‚݂̈ª‚ñ‚̜늳—¦‚ÍŽŸ‚Ì—l‚ɂȂè‚Ü‚·B
|
”N—î |
48 |
49 |
50 |
51 |
52 |
53 |
54 |
|
œëг—¦ |
0.00033 |
0.00033 |
0.000746 |
0.000746 |
0.000746 |
0.000746 |
0.000746 |
|
—ÝϜ늳—¦ |
0.256177 |
0.289135 |
0.363494 |
0.437797 |
0.512045 |
0.586238 |
0.660375 |
|
—ÝϜ늳—¦·•ª |
0 |
0.032957 |
0.107316 |
0.18162 |
0.255868 |
0.33006 |
0.404198 |
|
—ÝϜ늳—¦”ä |
1 |
1.12865 |
1.418914 |
1.70896 |
1.998791 |
2.288405 |
2.577803 |
|
55 |
56 |
57 |
58 |
59 |
60 |
61 |
62 |
|
0.00146 |
0.00146 |
0.00146 |
0.00146 |
0.00146 |
0.00236 |
0.00236 |
0.00236 |
|
0.80539 |
0.950193 |
1.094784 |
1.239165 |
1.383335 |
1.616099 |
1.848313 |
2.07998 |
|
0.549212 |
0.694015 |
0.838607 |
0.982987 |
1.127157 |
1.359921 |
1.592136 |
1.823802 |
|
3.143875 |
3.709119 |
4.273539 |
4.837135 |
5.399908 |
6.308513 |
7.214973 |
8.119294 |
48΂ðŠî€‚Æ‚µ‚½‘Š‘Î—ÝϜ늳—¦‚Íã‚̂悤‚ɂȂè‚Ü‚·B
‚±‚±‚ÅAƒsƒƒŠ‹Û”ñŠ´õŽÒ‚ÍA48΂©‚ç’ÇÕ‚ª‚Í‚¶‚Ü‚èA61΂܂łÌ13”NŠÔ’ÇÕ‚³‚êAƒsƒƒŠ‹ÛŠ´õŽÒ‚Í50΂©‚çŽn‚Ü‚èA61΂܂ŒÇÕ‚³‚ꂽ‚±‚ƂɂȂè‚Ü‚·B‚±‚±‚Å’ˆÓ‚ª•K—v‚Ȃ̂ÍA‚»‚ꂼ‚ꂪ48.3 + 13.3 = 61.6‚Æ 49.8 + 11.2 = 61.0‚Å‚ ‚邱‚Ƃł·B‚»‚±‚ÅAƒsƒƒŠ‹Û”ñŠ´õŽÒ‚Ì48.3΂̒ÇÕ‚Í0.7”N‚ƂȂè‚Ü‚·B‚»‚µ‚ÄA61΂̒ÇÕ‚Í0.6”NB‚Ü‚½AƒsƒƒŠ‹ÛŠ´õŽÒ‚Ì49.8΂̒ÇÕ‚Í0.2”NA61΂̒ÇÕ‚Í0”N‚ƂȂè‚Ü‚·B‚æ‚Á‚ÄA48΂ðŠî€‚Él‚¦‚邯A
S0f = n0 x 14(1 + 0.7 x 0.0(48Î) + 0.00033(49Î) + 0.00107(50Î) + 0.00182(51Î) + 0.00256(52Î) + 0.00330(53Î) + 0.00404(54Î) + 0.00549(55Î) + 0.00694(56Î) + 0.00839(57Î) + 0.00983(58Î) + 0.01127(59Î) + 0.01360(60Î) + 0.3 x 0.01592(61Î))
= 998 x 14 x 1.078192
= 14050.04
S1f = n1 x 12 (1 + 0.2 x 0.00033 + 0.00107 + 0.00182 + 0.00256 + 0.00330 + 0.00404 + 0.00549 + 0.00694 + 0.00839 + 0.00983 + 0.01127 + 0.01360 + 0.0 x 0.01592)
= 3657 x 12x 1.06863919
= 44135.01
ƒŠƒXƒN·‚Ìꇂ͂±‚¿‚ç‚ðŽg‚¤‚ׂ«‚Æl‚¦‚Ü‚·Bâ‘Εp“x‚Å‚·‚©‚炱‚̜늳—¦‚Ìâ‘炪•K—v‚Å‚·B‚µ‚©‚µAƒŠƒXƒN”ä‚Ü‚½‚Í”¶—¦”ä‚ÍA”ä‚Å‚·‚̂ł»‚̜늳—¦‚Ì”ä‚Å’²®‚³‚ê‚é‚ׂ«‚Æ„’肳‚ê‚Ü‚·‚̂ł»‚ê‚ÅŒ‹‰Ê‚ðŒ©‚Ä‚Ý‚Ü‚µ‚傤B
S0ff = n0 x (0.7 x 1 + 1.128650337 + 1.418913522 + 1.708960244 + 1.998790666
+ 2.288404948 +2.577803251 + 3.143874503 + 3.709119411 + 4.273539182
+ 4.837135021 + 5.39990813 + 6.308513006 + 0.3 x 7.214973311)
= n0 x 43.8226
= 998 x 43.8226
= 43734.95
S1ff = n1 x (0.2 x 1.128650337 + 1.418913522 + 1.708960244 + 1.998790666 + 2.288404948
+ 2.577803251 + 3.143874503 + 3.709119411 + 4.273539182 + 4.837135021 + 5.39990813
+ 6.308513006 + 0.0 x 7.214973311)
= 3657 x 37.89069
= 138566.3
C³•\‚Í
|
|
ˆÝ‚ª‚ñœëг |
l” |
’ÇÕŠúŠÔ |
l‚˜”N |
”N—î |
|
ƒsƒƒŠ‹ÛŠ´õ |
81: a |
3657: n1 |
11.2: t1 |
138566.3: S1 |
49.8: Y1 |
|
ƒsƒƒŠ‹Û”ñŠ´õ |
6: b |
998: n0 |
13.3: t0 |
43734.95: S0 |
48.3:Y0 |
|
¬Œv |
87: m1 |
4655: n |
11.6: t |
182301.25: S |
49.5: Y |
‚±‚ê‚æ‚èAC³”¶—¦‚Í
IRff = a/S1ff/c/S0ff = 81/164125.923 /6/46914.56836
= (81x46914.56836) / (6x164125.923)
= 4.260935
CI ef= IR x exp(}1.96 x ã( 1/a + 1/b)) = IR x exp(}0.8293) =9.7646/1.8593
IRff = 4.2609 (1.8593/9.7646)
‚»‚µ‚ÄA
‚±‚±‚ŃsƒƒŠ‹ÛŠ´õŽÒ‚ÌƒŠƒXƒNR1‚ÍA81/138566.3 = 58.45577171
‚±‚±‚ŃsƒƒŠ‹Û”ñŠ´õŽÒ‚ÌƒŠƒXƒNR0‚ÍA6/43734.95 = 13.71900505
‚±‚±‚Å‘S‘Ì‚ÌƒŠƒXƒNRt‚ÍA87/182301.25 = 47.72320541
R1/Rt = 1.2249
R0/Rt = 0.2875
R1/R0 = 4.2609
‚±‚ê‚ÍARR = 3.693 (1.616/8.439)‚ÆOR = 3.745 (1.633/8.629)‚ɋ߂«‚Ü‚µ‚½B”N—オ‚é‚Ù‚Ç‚±‚ÌC³‚ª‘å‚«‚‚È‚è‚Ü‚·‚̂ł܂¸‚±‚ÌC³‚ð‚·‚×‚«‚Å‚·B‚½‚¾A“¯‚¶‚ɂȂÁ‚½‚Ƃ͌¾‚¢Ø‚ê‚Ü‚¹‚ñB‚Ü‚¾‘¼‚Ì—vˆö‚ª‚ ‚邯l‚¦‚ç‚ê‚Ü‚·B
ã( 1/a + 1/b)@‚Í•W€Œë·(SE)‚Å‚µ‚½B¡‚Ìê‡ASE = 0.4231‚Å‚·B³Šm‚ɂ͂»‚Ìexp‚ðŽæ‚Á‚ÄA•W€Œë·(SE)‚Í@SE = 1.5267‚ƂȂè‚Ü‚·B‚»‚µ‚ÄA•W€Œë·‚Ì1.96”{‚ª95%‚ÌM—Š‹æŠÔ‚ƂȂÁ‚Ä‚¢‚Ü‚·B‚±‚ê‚ÍA•ê”ä—¦‚Å‚ ‚éIR‚Ì’l‚ª‘½”‰ñ(—Ⴆ‚Î100‰ñ)ƒTƒ“ƒvƒŠƒ“ƒO‚µ‚ÄŒJ‚è•Ô‚µ‹‚ß‚½ê‡‚É‚»‚Ì95%(95‰ñ)‚±‚ÌM—Š‹æŠÔ‚É“ü‚邯‚¢‚¤‚±‚Ƃł·B
‚‚܂èAIR‚Ì’l‚̌뷂ª‚±‚Ì’ö“x‚ÅAIR‚̕ꕽ‹Ï‚±‚Ì’ö“x‚΂ç‚‚‚Æ‚¢‚¤‚±‚Ƃł·B‚±‚ê‚ÍAƒTƒ“ƒvƒ‹”‚ª4655‚Æ‘½‚¢‚̂ł΂ç‚‚«‚ª¬‚³‚¢‚Å‚·‚ªA’–Ú‚·‚ׂ«“_‚̓Tƒ“ƒvƒ‹”‚Ì㕪‚̈ê‚̕ꕽ‹Ï‚̸“x‚Æ‚¢‚¤‚±‚Ƃł·B
—Ⴆ‚΃IƒbƒY”ä‚Å‚·‚Æ‚à‚¤‚µ–¾Šm‚ɂȂè‚Ü‚·B
81: a 3567: c 3657: n1
6: b 992: d 998: n0
‚Å‚µ‚½‚Ì‚ÅA
OR = (a/b)/(c/d) = (ad)/(bc) = (81x992)/(6x3567) = 3.754
M—Š‹æŠÔ(CI)@
exp(}1.96xã(1/a + 1/b + 1/c + 1/d) )
= exp(}1.96xã(1/81 + 1/6 + 1/3567 + 1/992) )
= exp (}1.96 x 0.4246)
= 2.2984/0.4351
‹æŠÔ„’è
OR = 3.754 (1.633/8.629) : ‘Δ•W€Œë·0.4246
•W€•η‚Ƃ̓f[ƒ^‚̃oƒ‰‚‚«‚ÌŽw•W‚Å‚µ‚½A}2SD (t•ª•z‚Ìê‡)‚͈̔͂Ƀf[ƒ^‚ª“ü‚éŠm—¦95%‚ƂȂé‚̂ł·B‚»‚±‚ÅAˆê”Ê“I‚Ƀf[ƒ^‚̃oƒ‰‚‚«‚ðŽ¦‚µ‚½‚¢C‚ ‚é‚¢‚Í”ä‚ׂ½‚¢Žž‚Í•W€•η‚ðŽg‚¤‚ׂ«‚Å‚·B‚»‚µ‚ÄA•W€•η‚̓Tƒ“ƒvƒ‹”‚ÉŠî–{“I‚ɂ͈ˑ¶‚µ‚È‚¢’l‚Å‚·B
ˆê•û‚ÅC•W€Œë·‚Æ‚ÍC•ꕽ‹ÏA•ê”ä—¦‚Ì’l‚Ì‹æŠÔ„’è—ʂłµ‚½D•ꕽ‹Ï(•ê”ä—¦)}2SE(t•ª•z‚Ìê‡)‚͈̔͂ɕꕽ‹Ï(•ê”ä—¦)‚ª“ü‚éŠm—¦‚ª95% ‚ƂȂè‚Ü‚·B•ꕽ‹ÏA•ê”ä—¦‚Ì„’è‚ð‚µ‚½‚¢C‚ ‚é‚¢‚Í”ä‚ׂ½‚¢‚Æ‚¢‚¤Žž‚Í•W€Œë·‚ðŽ¦‚·‚ׂ«‚Å‚·B‚»‚µ‚ÄA•W€Œë·‚̓Tƒ“ƒvƒ‹”‚Ɉˑ¶‚µƒTƒ“ƒvƒ‹”‚ª‘½‚‚È‚é‚قǬ‚³‚È’lAŒ¾‚¢Š·‚¦‚ê‚ÎM—Š‹æŠÔ‚ª‹·‚Ü‚è‚Ü‚·B¡‚Ìꇂ͔Ǘ¦IR‚Ì’l‚ð‹‚߂Ă¢‚Ü‚·‚̂ł»‚Ì’l‚͈̔͂ð’m‚肽‚¢‚̂ŕW€Œë·‚ðŠî‚É‚µ‚½M—Š‹æŠÔ(ˆê”Ê“I‚É95%)‚ðŽg‚¤‚Ì‚ª‚æ‚¢‚Æl‚¦‚ç‚ê‚Ü‚·B
‚±‚ê‚ðŒ©‚Ä‚à’Pƒ‚Èhl‚˜”Nh‚É‚æ‚é”¶—¦‚ɂ͖â‘肪‚ ‚èA”N‘ゲ‚Ƃ̜늳—¦‚É‚æ‚éd‚݂¯‚ð‚·‚×‚«‚Æl‚¦‚ç‚ê‚Ü‚·B
‘¼‚Ì——R‚ð’T‚éˆ×‚ɃnƒU[ƒh‚ðlŽ@‚µ‚Ă݂܂·BƒnƒU[ƒh‚Ƃ͂ ‚éuŠÔ‚É‚¨‚¯‚é”¶—¦‚Ì‚±‚Ƃł·B‚‚܂èA‚¢‚Ü‹‚ß‚½”Ç—¦‚ÌuŠÔ‚Ì’l‚Å‚·B‘½‚‚Ìê‡uŠÔŽ€–S—¦‚ð‹‚ß¶‘¶ŽžŠÔ‚̉ð͂Ɏg‚í‚ê‚Ü‚·‚ªAƒCƒxƒ“ƒg‚ÍŽ€–S‚łȂ‚Ä‚à”ÇAœëг‚Å‚àŽg‚¤‚±‚Æ‚Ío—ˆ‚Ü‚·B
HR:ƒnƒU[ƒh”ä‚ÍŽŸ‚ÌŽ®‚Å‹‚ß‚ç‚ê‚Ü‚·B
HR = h(t)/h0(t)
‚±‚±‚ÅA
h(t)FƒnƒU[ƒhŠÖ”i–\˜IŒQ‚̃nƒU[ƒhj
h0(t)FŠî€ƒnƒU[ƒhŠÖ”i”ñ–\˜IŒQ‚̃nƒU[ƒhj
ƒnƒU[ƒhŠÖ”‚ÍAu’ÇÕŽžŠÔtŒã‚ÌuŠÔ”¶—¦v
ƒnƒU[ƒhŠÖ”‚ÍtŽž‚ÌuŠÔ”Ç—¦‚Å‚·‚Ì‚ÅA‚ ‚鎞“_‚©‚烢tŒã‚܂łɜ늳‚·‚éŠm—¦‚ðƒ¢t‚ÅŠ„‚Á‚½‚à‚̂ł·B
¡‚Ìꇂ͖\˜IŒQ‚ðl‚¦‚邯A49.8΂ªƒXƒ^[ƒg’n“_‚Å‚·‚̂ł»‚ÌŽž“_‚Ì”ñœëгŽÒ‚Ìl”‚ðN(49.8)‚Æ‚µ‚Ü‚·B‚»‚µ‚ÄAtŽžŠÔŒã‚Ì”ñœëгŽÒ‚Ìl”‚ðN(t)‚Æ‚µ‚Ü‚·BtŽž‚ł̶‘¶Š„‡‚ðN(t)/N(49.8)‚Å•\‚·‚±‚Æ‚ªo—ˆ‚Ü‚·B‚±‚ê‚ðеK‚É]‚¢S(t)‚Æ•\‚µ‚Ä‚¨‚«‚Ü‚·B‚»‚µ‚ÄAƒnƒU[ƒh(ŠÖ”)‚Æ‚ÍAt‚©‚çt+ƒ¢t‚܂łÌðŒ•t‚«œëг—¦A‚‚܂è”ñœëгŽÒ‚ªœëг‚·‚éŠm—¦‚Å‚·‚Ì‚Å{S(t) – S(t+ƒ¢t)} / S(t)@‚Ì‚±‚Ƃł·‚ªA‚±‚ê‚ÍuŠÔœëг—¦‚ł͂ȂAƒ¢t‚̊Ԃ̜늳—¦‚Å‚·‚̂ł»‚Ì•½‹Ï‚ðŽæ‚è‚Ü‚·B‚·‚邯
{S(t) – S(t+ƒ¢t)} /{ S(t) ƒ¢t}
‚±‚ꂪuŠÔœëг—¦A‚‚܂èƒnƒU[ƒh‚Å‚·B”Šw“I‚ɂ̓¢t¨0‚̋ɌÀ‚ðŽæ‚Á‚Ä”÷•ªŒ`Ž®‚É‚µ‚ÄA(dS(t)/dt)/S(t)‚ƂȂè‚Ü‚·B‚»‚µ‚ÄA‚±‚ê‚͜늳‚µ‚Ä‚¢‚È‚¢l”‚𔂦‚Ä‚¢‚Ü‚·‚̂Ō¸‚µ‚Ä‚¢‚‚½‚ßAˆê”Ê“I‚ɂ̓}ƒCƒiƒX‚ð•t‚¯‚Ä
h(t) = ](dS(t)/dt)/S(t)
‚±‚ꂪƒnƒU[ƒh‚Ì’è‹`‚Å‚·B
‚±‚±‚ÅA{S(t) – S(t+ƒ¢t)} /{ S(t) ƒ¢t}‚É–ß‚è‚Ü‚·‚ÆA
{S(t) – S(t+ƒ¢t)} /{ S(t) ƒ¢t}
= {N(t)/N(49.8) – N(t+ƒ¢t) /N(49.8)} /{ N(t) ƒ¢t /N(49.8) }
= {N(t) – N(t+ƒ¢t) } /{ N(t)ƒ¢t}
‚±‚ꂱ‚»uŠÔ”Ç—¦‚Å‚·B‚‚܂èAuŠÔ”Ç—¦‚̓nƒU[ƒh‚Æ“¯‚¶‚±‚ƂɂȂè‚Ü‚·B‚æ‚Á‚ÄA‚±‚ê‚É‚æ‚èƒnƒU[ƒh(”ä)‚ð‹‚ßAƒRƒbƒNƒX”ä—áƒnƒU[ƒh‰ñ‹Aƒ‚ƒfƒ‹‚ÉŽ‚¿ž‚Þ‚±‚Æ‚à‚Å‚«‚Ü‚·B‚µ‚©‚µAŒ‹‹Ç‚͔Ǘ¦‚ðŽg—p‚µ‚Ü‚·‚Ì‚ÅAƒGƒ‹ƒS[ƒ‹ƒh«‚ª–ž‚½‚³‚ê‚È‚¢ŒÀ‚行©‚½”Ç—¦‚ÌŒvŽZ‚Æ“¯‚¶–â‘è‚ð“à‘ ‚µ‚Ä‚¢‚Ü‚·BƒnƒU[ƒh‚ɕϔ•ÏŠ·‚µ‚Ä‚à‰½‚Ì‰ðŒˆ‚É‚Í‚È‚ç‚È‚¢‚±‚ƂɂȂè‚Ü‚·B
‚±‚±‚Å”¶—¦‚ðI‚Æ‚¨‚¢‚ÄA
I = {N(t) – N(t+ƒ¢t) } /{ N(t)ƒ¢t} ‚æ‚èA
Iƒ¢t = {N(t) – N(t+ƒ¢t) } /N(t) ‚±‚ê‚ÍA”ÇŠm—¦
Iƒ¢t N(t)= {N(t) – N(t+ƒ¢t) } ”Çl”
‚ƂȂè‚Ü‚·B
ŽÀÛ‚ÉŒvŽZ‚µ‚Ă݂܂µ‚傤B‚µ‚©‚µA‚¢‚œ늳‚µ‚½‚©‚̃f[ƒ^‚ª‚ ‚è‚Ü‚¹‚ñB‚»‚±‚ÅA‘SŠúŠÔ‚ŔǗ¦AƒnƒU[ƒh‚ª“¯‚¶‚Å‚ ‚邯‚µ‚Ä‹‚߂Ă݂܂·B
–\˜IŒQ‚ɑ΂µ‚Ä
I = {N (49.8) – N (61.0)} / {N (49.8) x 11.2}
= (3657 – 3576) / (3657 x 11.2)
= 0.001977616
h(t) ={N(t) / N(49.8) – N(t+ƒ¢t) / N(49.8)} /{N(t) / N(49.8) x ƒ¢t}
= {N (49.8) / N (49.8) – N (61.0) /N (49.8)} / {N (49.8) x11.2 / N (49.8)}
= {1 - 3576 / 3657} / {11.2}
= 0.001977616
”ñ–\˜IŒQ‚ɑ΂µ‚Ä
I = {N (48.3) – N (61.6)} / {N (48.3) x 13.3}
= (998 – 992) / (998 x 13.3)
= 0.000452031
h(t) ={N(t) / N(48.3) – N(t+ƒ¢t) / N(48.3)} / {N(t) / N(48.3) x ƒ¢t}
= {N (48.3) / N (48.3) – N (61.6) / N (48.3)} / {N (48.3) x 13.3 / N (48.3)}
= {1 – 992 / 998} / {13.3}
= 0.000452301
‚æ‚Á‚ÄA’ÇÕŠúŠÔ‚ňê’è‚̔Ǘ¦AƒnƒU[ƒh‚Æ‚µ‚½ê‡‚Ì’l‚Í
I(–\˜I) = H(–\˜I) = 0.001977616
I(”ñ–\˜I) = H(”ñ–\˜I) = 0.000452301
‚±‚ê‚æ‚èAƒnƒU[ƒh”äA”Ç—¦‚Í
I(–\˜I)/ I(”ñ–\˜I)
= H(–\˜I)/ H(”ñ–\˜I)
= 0.001977616 / 0.000452301
= 4.372345657
‚±‚ê‚ÍAæ‚Ù‚Ç‹‚ß‚½‰º‚̜늳—¦‚É‚½‚¢‚Ö‚ñ‹ß‚¢’l‚ɂȂè‚Ü‚µ‚½B
IR = 4.366 (1.905/10.01)
‚±‚ê‚àæ‚Ù‚Ç‚Ì‚æ‚¤‚É”N‚Ì’·‚³‚ðƒf[ƒ^‚Ì”N‘ã•ʜ늳—¦‚ÅC³‚µ‚Ă݂܂µ‚傤B
–\˜IŒQ‚ÍA37.89069”NA”ñ–\˜IŒQ‚Í43.8226”N‚ƂȂè‚Ü‚·B
I(–\˜I) = (3657 – 3576) / (3657 x 37.89069)
= 0.000584557
I (”ñ–\˜I)= (998 – 992) / (998 x 43.8226)
= 0.00013719
ƒnƒU[ƒh”ä = 4.260930097
‚±‚ê‚àæ‚Ù‚Ç‚Ì‰º‚ÌC³”¶—¦‚ɋ߂¢‚à‚̂ɂȂè‚Ü‚µ‚½B
IRff = 4.2609 (1.8593 / 9.7646)
‚Ü‚½ƒnƒU[ƒh‚ÌC³’l‚Í”ä‚ðŽæ‚ç‚È‚¢‚̂ő«‚µŽZ‚ÌŽžŠÔC³‚ðÌ—p‚·‚邯
I(–\˜I) = (3657 – 3576) / (3657 x 12 x 1.06863919)
= 0.00172722
I (”ñ–\˜I)= (998 – 992) / (998 x 14 x 1.078192)
= 0.000398287
‚±‚ê‚ç‚ÌC³‚ðŽÀۂ̜늳ŽÒ‚͜늳‚܂ł̎žŠÔA”ñœëгŽÒ‚Í‘S’ÇÕŠúŠÔ‚Ŝ늳—¦ƒx[ƒX‚ÉŽžŠÔA‚Ü‚½‚Íl‚˜ŽžŠÔ‚ðC³‚·‚ê‚ÎŽÀÛ‚ÌƒŠƒXƒN‚Ì”ä‚ɋ߂‚Æl‚¦‚ç‚ê‚Ü‚·B‚»‚ê‚ÍA
3.684‚Æ4.2609‚ÌŠÔ‚ÌŽžŠÔ‚Æ„‘ª‚³‚ê‚Ü‚·B
‚±‚ê‚ç‚ð‚Ü‚Æ‚ß‚é‚ÆA
R1/Rt = 1.2249
R0/Rt = 0.2875
R1/R0 = 4.2609
‚±‚±‚ŃsƒƒŠ‹ÛŠ´õŽÒ‚ÌƒŠƒXƒNR1‚ÍA‚¨‚¨‚æ‚»198 (‘Î\–œl/”N)
‚±‚±‚ŃsƒƒŠ‹Û”ñŠ´õŽÒ‚ÌƒŠƒXƒNR0‚ÍA‚¨‚¨‚æ‚» 45 (‘Î\–œl/”N)
‚±‚±‚Å‘S‘Ì‚ÌƒŠƒXƒNRt‚ÍA‚¨‚¨‚æ‚»161 (‘Î\–œl/”N)
R1 – Rt = 27 (‘Î\–œl/”N)AR0 – Rt = -116 (‘Î\–œl/”N)
‚±‚ê‚æ‚èƒsƒƒŠ‹ÛŠ´õ‚É‚æ‚éˆÝ‚ª‚ñ‚ÌƒŠƒXƒN‚Í‚¨‚¨‚æ‚»ƒsƒƒŠ‹Û‚Ì”ñœëг‚Ì4”{‚ɂȂèA‚»‚ê‚Í‚¾‚¢‚½‚¢1.6“‚Ìâ‘Εp“x‚Ì‘‰Á‚Æl‚¦‚ç‚ê‚Ü‚·B‚»‚µ‚ÄAƒsƒƒŠ‹ÛŠ´õŽÒ‚݂̈ª‚ñœëг—¦‚ÍA‘S‘݂̂̈ª‚ñœëг—¦‚Ì1.2249”{‚ÅAƒsƒƒŠ‹Û”ñŠ´õŽÒ‚݂̈ª‚ñœëг—¦‚Í‘S‘݂̂̈ª‚ñœëг—¦‚Ì0.2875”{‚Å‚·‚̂ł±‚ê‚ðÌ—p‚µ‚Ü‚·B‚æ‚Á‚ÄAƒsƒƒŠ‹ÛŠ´õŽÒ‚ÍA•½‹Ïœëг—¦‚É27 (‘Î\–œl/”N)‚ð‰Á‚¦AƒsƒƒŠ‹Û”ñŠ´õŽÒ‚Í116 (‘Î\–œl/”N)‚ðˆø‚¢‚ÄŽg—p‚·‚邱‚ƂɂȂè‚Ü‚·B
Žc”O‚È‚ª‚çABCD‚̃Oƒ‹[ƒv•ª‚¯‚ł̓¯—l‚ÈŒvŽZ‚ð‚·‚éƒf[ƒ^‚ªŒ©‚‚©‚è‚Ü‚¹‚ñ‚Ì‚ÅAABCDƒOƒ‹[ƒv•ª‚¯‚µ‚Ä‚¢‚é‚à‚Ì‚ðW‚߂Ă݂܂·B
Ohata“™13) Yoshida“™9) Watabe“™12) Mizuno“™19) Sasazuki“™5)
”•\”N 2004 2014 2005 2009 2006
ƒTƒ“ƒvƒŠƒ“ƒO”N
1994-1995 1994-1995 1995-1997 1987 1990/1993
ŽÀŽ{êŠ ˜a‰ÌŽR ˜a‰ÌŽR ç—t ‹ž“s “ú–{Še’n
‘’²¸l” 4655 4655 6983 2859 99808
’j/— 4655/0 4655/0 3320/2260 1011/1848 47525/52283
”N—î 48.3 (•½‹Ï) 48.3(•½‹Ï) 48.9 (•½‹Ï) ≥ 35 57.4
’ÇÕŠúŠÔ (”N) 7.7 (•½‹Ï) 16.0(•½‹Ï) 4.7 (•½‹Ï) 10 (Å‘å) 15.0
@ ÅI”N—î 56.0(•½‹Ï) 64.3(•½‹Ï) 53.6(•½‹Ï) •s–¾ 72.4
HP—z«—¦(%) 78.6 78.6 46.1 75 73.5
PG—z«—¦(%) 28.9 29.26 21.8 39.2 58.2
ˆÝ‚ª‚ñœëгl”
45 87 43 61 1681
ˆÝ‚ª‚ñœëг—¦ (/10–œl)
967 186.9 616 213 196.85
ˆÝ‚ª‚ñœëг—¦ (%)
0.967 1.869 0.616 2.13 1.9685
ˆÝ‚ª‚ñœëг—¦
(10–œl/”N) 125.6 116.8 131.0 213.0 131.24
ˆÝ‚ª‚ñœëг—¦(%/”N)
0.1256 0.1168 0.131 0.213 0.131
A:B:C:D(%) 21:50:28:0.7 21:50:29:0.7 48:31:15:6.3 23:38:37:2.4 21:21:54:3.9
HP+
‘l” 3657 3657 3216 2148 19475
ˆÝ‚ª‚ñœëгl”
43 81 24 56 478
ˆÝ‚ª‚ñœëг—¦ (/10–œl)
1175.8 2214.93 746.27 2607.08 2454.43
ˆÝ‚ª‚ñœëг—¦ (%)
1.1758 2.21493 0.74627 2.607 2.4544
ˆÝ‚ª‚ñœëг—¦
(10–œl/”N) 152.705 138.43 158.78 260.71 163.63
ˆÝ‚ª‚ñœëг—¦(%/”N)
0.1527 0.13843 0.15878 0.2607 0.1636
ƒŠƒXƒN”ä
(/‘S‘݂̈ª‚ñœëг—¦)
1.2158 1.1852 1.2121 1.2240 1.2468
PG+
‘l” 1347 1362 1525 1123 19491
ˆÝ‚ª‚ñœëгl”
26 48 30 44 418
ˆÝ‚ª‚ñœëг—¦ (/10–œl)
1930.215 3524.23 1967.21 3918.08 2144.58
ˆÝ‚ª‚ñœëг—¦ (%)
1.9302 3.524 0.1967 3.918 2.144
ˆÝ‚ª‚ñœëг—¦
(10–œl/”N) 250.677 220.264 418.556 391.81 142.97
ˆÝ‚ª‚ñœëг—¦(%/”N)
0.251 0.220 0.4186 0.3918 0.1430
ƒŠƒXƒN”ä
(/‘S‘݂̈ª‚ñœëг—¦)
1.2158 1.1886 3.195 1.8395 1.089
HP-/PG-
‘l” 967 965 3324 647 5394
ˆÝ‚ª‚ñœëгl”
0 2 7 2 16
ˆÝ‚ª‚ñœëг—¦ (/10–œl)
- 207.25 211 309 296.6
ˆÝ‚ª‚ñœëг—¦ (%)
- 0.20725 0.211 0.309 0.2966
ˆÝ‚ª‚ñœëг—¦
(10–œl/”N) - 12.95 44.9 30.9 19.8
ˆÝ‚ª‚ñœëг—¦(%/”N)
- 0.01295 0.0449 0.0309 0.0198
ƒŠƒXƒN”ä
(/‘S‘݂̈ª‚ñœëг—¦)
- 0.111 0.343 0.145 0.151
HP+/PG-
‘l” 2341 2328 2134 1094 5378
ˆÝ‚ª‚ñœëгl”
19 37 6 15 76
ˆÝ‚ª‚ñœëг—¦ (/10–œl)
812 1589 281 1371 1413
ˆÝ‚ª‚ñœëг—¦ (%)
0.812 1.589 0.281 1.371 1.413
ˆÝ‚ª‚ñœëг—¦
(10–œl/”N) 105.45 99.3 59.8 137.1 94.2
ˆÝ‚ª‚ñœëг—¦(%/”N)
0.10545 0.0993 0.0598 0.1371 0.0942
ƒŠƒXƒN”ä
(/‘S‘݂̈ª‚ñœëг—¦)
0.8396 0.850 0.4565 0.6437 0.718
HP+/PG+
‘l” 1316 1329 1082 1054 14097
ˆÝ‚ª‚ñœëгl”
24 44 18 41 402
ˆÝ‚ª‚ñœëг—¦ (/10–œl)
1824 3311 1664 3890 2935
ˆÝ‚ª‚ñœëг—¦ (/%)
1.824 3.311 1.664 3.89 2.935
ˆÝ‚ª‚ñœëг—¦
(10–œl/”N) 236.9 206.9 354.0 389 195.7
ˆÝ‚ª‚ñœëг—¦(%/”N)
0.2369 0.2069 0.3540 0.389 0.1957
ƒŠƒXƒN”ä
(/‘S‘݂̈ª‚ñœëг—¦)
1.886 1.771 2.702 1.826 1.491
HP-/PG+
‘l” 31 33 443 69 5394
ˆÝ‚ª‚ñœëгl”
2 4 12 3 16
ˆÝ‚ª‚ñœëг—¦(/10–œl)
6452 12121 2709 4348 1760
ˆÝ‚ª‚ñœëг—¦ (/%)
6.452 12.121 2.709 4.348 1.760
ˆÝ‚ª‚ñœëг—¦
(10–œl/”N) 837.9 757.56 578.4 434.8 113.8
ˆÝ‚ª‚ñœëг—¦(%/”N)
0.8379 0.75756 0.5764 0.4348 0.1138
ƒŠƒXƒN”ä
(/‘S‘݂̈ª‚ñœëг—¦)
6.671 6.486 4.4 2.041 0.867
‚±‚ê‚ðA‚Ý‚é‚Ææ‚Ù‚Ç‹‚ß‚½•½‹ÏˆÝ‚ª‚ñœëг—¦160.69450 (‘Î\–œl/”N)‚ÍA‚æ‚¢ü‚ðŒ¾‚Á‚Ä‚¢‚邱‚Æ‚ªŒ¾‚¦‚é‚©‚ÆŽv‚¢‚Ü‚·B‚Ü‚½AƒsƒƒŠ‹ÛŠ´õ‚É‚æ‚é‘S‘݂̂̈ª‚ñœëг—¦‚ɑ΂·‚郊ƒXƒN”ä‚ÍA1.2158A1.1852A1.2121A1.2240A1.2468‚Æ‚©‚È‚èˆÀ’肵‚Ä‚¢‚Ü‚·B
ƒOƒ‹[ƒvA‚ÍA‚»‚Ì‘S‘̂ł̊„‡‚Æ‚»‚̜늳—¦‚ª‚©‚Ȃ葊ŠÖ‚µ‚Ä‚¢‚Ü‚·(‘ŠŠÖŒW”0.881)A‚‚܂èƒOƒ‹[ƒvA‚ÉŠÖ‚µ‚Ä‚ÍA‚»‚ÌŒXŒü‚ðã‹L‚Ì•\‚©‚猩‚ĂƂê‚邱‚ƂɂȂè‚Ü‚·B‚»‚µ‚ÄA‚»‚ê‚͜늳—¦‚ª’á‚S”z‚Ì•K—v«‚ª‚Ù‚Æ‚ñ‚ǂȂ¢‚Æ‚¢‚¤‚±‚Ƃł·B
‚»‚ê‚ɑ΂µƒyƒvƒVƒm[ƒQƒ“ó‘Ô‚Ì‘S‘݂̂̈ª‚ñœëг—¦‚ɑ΂·‚郊ƒXƒN”ä‚ÍA1.2158A1.1886A3.195A1.8395A1.089‚Ƃ΂ç‚‚«‚ª‘å‚«‚AƒsƒƒŠ‹ÛŠ´õˆÈŠO‚É‚àŠÖ˜A‚·‚é—vˆö‚ª‚ ‚邯„‘ª‚³‚ê‚Ü‚·B‚»‚ê‚à‚ ‚èAƒsƒƒŠ‹ÛŠ´õ‚ƃyƒvƒVƒm[ƒQƒ“ó‘Ô‚Ì‘g‚݇‚킹‚‚܂èAABCD‚̃Oƒ‹[ƒv‚²‚Ƃ̌‹‰Ê‚à‚ ‚Ü‚èˆÀ’肵‚Ä‚¢‚Ü‚¹‚ñB“Á‚ÉAƒOƒ‹[ƒvD‚͉º‚̂悤‚É‚©‚È‚è‚΂ç‚‚¢‚Ä‚¢‚Ü‚·B
13) 9) 12) 19) 5)
ƒOƒ‹[ƒvDˆÝ‚ª‚ñœëг—¦(‘Î10–œl/”N) 837.9 757.6 576.4 434.8 111.9
ƒOƒ‹[ƒvDƒŠƒXƒN”ä(/‘S‘݂̈ª‚ñœëг—¦) 6.671 6.486 4.4 2.041 0.85250
“Á‚ÉA5)‚Ì—á‚Æ‘¼‚Ì3(4)—á‚ő傫‚ˆá‚Á‚Ä‚¢‚Ü‚·B”N‘ã“I‚ɂ͂¾‚¢‚½‚¢Ž—’Ê‚Á‚Ä‚¨‚è(1995”N )A3(4)—Ⴊ1Œ§‚ł̃f[ƒ^‚Å‚ ‚Á‚½‚̂ɑ΂µA‚±‚¿‚ç‚Í‘½”Œ§(ŠâŽèŒ§“ñŒËAH“cŒ§‰¡ŽèAˆï錧…ŒËAVŠƒŒ§’·‰ªA’·–쌧²‹vA‘åã•{“cA‚’mŒ§’†‰›“ŒA’·èŒ§ãŒÜ“‡A‰«“ꌧ’†•”A‰«“ꌧ‹{ŒÃ)‚Ås‚í‚ê‚Ä‚¨‚è‚Ü‚·BNested Case-Control Study‚ðs‚Á‚Ä‚¢‚邽‚ßA•êW’c‚ɂ‚¢‚Ä–¾Šm‚È‚±‚Æ‚Íq‚ׂç‚ê‚Ü‚¹‚ñ‚ªAƒOƒ‹[ƒvD‚ªˆÝ‚ª‚ñœëг‚ÌÅIƒXƒeƒbƒv‚Å‚ ‚邯‚̉¼’è‚ðà–¾‚µ‚½‚¢‚Ƃ̃oƒCƒAƒX‚ª‚©‚©‚Á‚Ä‚¢‚é‚Ì‚©‚à‚µ‚ê‚Ü‚¹‚ñB‚±‚̂悤‚Él‚¦‚邯A‚±‚̃sƒƒŠ‹ÛŠ´õ‚ƃyƒvƒVƒm[ƒQƒ“ó‘Ô‚É‚æ‚èƒOƒ‹[ƒv•ª‚¯‚·‚éA,B,C,D‚ÉŠî‚—\–h‚ÍXŽžŠú‚ª‘‚·‚¬‚邯Œ¾‚¦‚é‚Å‚µ‚傤B‚à‚¤‚µƒf[ƒ^‚ª®‚¤‚̑҂Á‚½•û‚ª‚æ‚¢‚Å‚µ‚傤B‚±‚ÌŒ‹‰Ê‚àæ‚Ù‚Ç‚Ì‘ŠŠÖŒW”‚©‚ç‚ÌlŽ@‚Æ“¯‚¶•ûŒü«‚ƂȂè‚Ü‚µ‚½B
ƒOƒ‹[ƒvA‚ÉŠÖ‚µ‚Ü‚µ‚Ä‚ÍAƒf[ƒ^‚͈À’肵‚Ä‚¢‚Ü‚·‚̂ł»‚̜늳—¦‚Í‚¨‚¨‚æ‚»A‚ÌŠ„‡‚P““–‚½‚è1l(‘Î\–œl/”N)‚ƂȂè‚Ü‚·B
‚±‚ê‚ç‚ÌŒ‹‰Ê‚ð”äŠr‚·‚邯Aã‚Å‹c˜_‚µ‚Ä“_ˆÈŠO‚É‚àŽ—’Ê‚Á‚½•”•ª‚ƈá‚Á‚Ä‚¢‚é•”•ª‚ª‚ ‚è‚Ü‚·B
Ž—’Ê‚Á‚½‰ÓŠ
ƒTƒ“ƒvƒŠƒ“ƒO”NA
ˆá‚¤‚à‚Ì
”N—îAA:B:C:D”ä—¦A’j—”äA’ÇÕŠúŠÔAƒsƒƒŠ‹Û—z«—¦AƒyƒvƒVƒm[ƒQƒ“—z«—¦
‚±‚ê‚ç‚Ì·ˆÙ‚ª‚ ‚é‚Ì‚ÅA‚±‚ê‚ðƒƒ^‰ðÍ‚·‚邱‚Ƃ̈́§‚³‚ê‚Ü‚¹‚ñBŒ³ƒf[ƒ^‚ð‚±‚ê‚ç‚̈Ⴂ‚ðl—¶‚·‚é‚È‚ç‚΂܂¾‚µ‚Í—LˆÓ‚ÈŒ‹‰Ê‚ª“±‚«o‚¹‚é‰Â”\«‚Í‚ ‚è‚Ü‚·‚ªA‚½‚¾’P‚ɃIƒbƒY”ä‚̃ƒ^‰ð͂őS‘̂̃IƒbƒY”ä‚ðo‚µ‚Ä‚à‚Ù‚Æ‚ñ‚LjӖ¡‚ªŒ©‚ç‚ê‚Ü‚¹‚ñBƒsƒƒŠ‹ÛŠ´õ‚ªÅ‘å‚Ì—vˆö‚Ȃ̂ÉA‚»‚ê‚Ì—z«—¦‚ª‘å‚«‚ˆá‚¢‚Ü‚·B—«‚Ì•û‚ª‚͂邩‚Ɉ݂ª‚ñ‚̜늳—¦‚ª’á‚¢‚É‚àŠÖ‚í‚炸A’j—\¬‚ɑ傫‚ȈႢ‚ª‚ ‚è‚Ü‚·B–¾Šm‚É”N—オ‚ê‚Μ늳—¦‚ªã‚ª‚é‚Ì‚ÉÅI”N—‘å‚«‚ˆá‚¢‚Ü‚·B‚»‚Ì‚ ‚½‚è‚ðl—¶‚µ‚È‚¢ƒƒ^‰ð͂ɂ͈Ӗ¡‚ª‚ ‚è‚Ü‚¹‚ñB
‚»‚ê‚ł͂±‚ê‚ç‚̃f[ƒ^‚©‚ç“à‚ð„˜_‚·‚ê‚΂悢‚Å‚µ‚傤‚©B
‚·‚ׂĂɋ¤’Ê‚µ‚ÄŒ¾‚¦‚邱‚Ƃ͉½‚Å‚µ‚傤B
HP-/PG-‚Í‚½‚¢‚Ö‚ñˆÝ‚ª‚ñ‚̜늳—¦‚ª’á‚‚È‚è‚Ü‚·B
1)‚Æ3)‚ÍA’ÇÕ”N‘ã‚ªŽ—‚Ä‚¢‚Ü‚·B‚»‚µ‚ÄA”N‚ ‚½‚è‚݂̈ª‚ñœëг—¦‚à0.1256‚Æ0.131‚ÆŽ—‚Ä‚¢‚Ü‚·B‚»‚µ‚ÄA1)‚Ì•û‚ªÅI”N—îA’ÇÕŠúŠÔ‚ª’·‚¢A’j«‚΂©‚èA‚»‚µ‚Ĉ݂ª‚ñ‚̜늳—¦‚Ì‚‚¢˜a‰ÌŽRŒ§‚Ås‚í‚ꂽ‚É‚àŠÖ‚í‚炸A’á‚‚È‚Á‚Ä‚¢‚Ü‚·B‚ǂ̂悤‚ɉðŽß‚·‚é‚Ì‚ª‚æ‚¢‚Å‚µ‚傤B
‚µ‚©‚à‚»‚Ì16”N’ÇÕ‚µ‚½ƒŠƒ|[ƒg‚Ì•û‚ªAX‚É0.1168‚Ɯ늳—¦‚ª’á‚‚È‚Á‚Ä‚¢‚Ü‚·B
‚±‚ê‚ÌŒ´ˆö‚Æl‚¦‚ç‚ê‚é‚̂͂±‚̃Oƒ‹[ƒv‚ÌD‚ÌŠ„‡‚ª‘¼‚Æ”ä‚ׂđ½‚¢‚±‚Ƃł·B
‚±‚Ì‚ ‚½‚è‚ð’T‚éˆ×‚É“s“¹•{Œ§•ʂ݂̈ª‚ñœëг—¦‚̃f[ƒ^‚ðŽQÆ‚µ‚Ă݂܂·B
‘S‘‚ª‚ñœëгƒ‚ƒjƒ^ƒŠƒ“ƒOWŒv22)‚É‚æ‚邯F
ˆÝ‚ª‚ñœëг—¦@Œ§•Ê(‘Î10–œl)
2003 ’j— ’j 50-54 55-59 60-64 — 50-54 55-59 60-64
‘S‘ 103.3 118.4 89.0 148.4 230.5 55.9 36.8 59.2 70.4
‘S‘(”N—î’²®) 53.4 81.1 - - - 31.2 - - -
ç—t 55.5 74.4 55.7 78.2 135.5 36.5 28.4 48.3 48.6
ç—t(”N—î’²®) 37.5 55.6 - - - 22.8 - - -
‹ž“s 54.9 72.8 44.1 74.9 130.2 38.3 22.1 26.3 38.0
‹ž“s(”N—î’²®) 32.7 49.1 - - - 20.0 - - -
˜a‰ÌŽR - - - - - - - -
˜a‰ÌŽR(”N—î’²®) - - - - - - - -
2009 ’j— ’j 50-54 55-59 60-64 — 50-54 55-59 60-64
‘S‘ 96.2 136.1 79.2 145.4 226.1 58.2 35.6 50.0 70.1
‘S‘(”N—î’²®) 51.0 78.9 - - - 27.9 - - -
ç—t 74.9 104.0 61.2 96.8 174.2 46.0 30.8 44.8 63.2
ç—t(”N—î’²®) 41.9 62.9 - - - 24.0 - - -
‹ž“s 89.6 124.7 71.9 111.6 182.2 57.2 25.6 44.2 76.0
‹ž“s(”N—î’²®) 46.0 70.6 - - - 26.6 - - -
˜a‰ÌŽR 130.8 184.6 68.0 174.3 253.9 83.1 34.0 90.7 91.6
˜a‰ÌŽR(”N—î’²®) 59.7 90.5 - - - 35.7 - -
2010 ’j— ’j 50-54 55-59 60-64 — 50-54 55-59 60-64
‘S‘ 98.2 139.1 75.1 147.5 236.0 59.3 34.2 52.4 73.2
‘S‘(”N—î’²®) 51.5 79.7 - - - 28.2 - - -
ç—t 72.6 100.8 49.9 101.1 161.2 44.7 25.7 33.9 52.2
ç—t(”N—î’²®) 39.2 59.2 - - - 21.9 - - -
‹ž“s - - - - - - - - -
˜a‰ÌŽR 137.4 193.3 85.9 145.8 336.7 87.8 43.6 95.5 141.8
˜a‰ÌŽR(”N—î’²®) 63.1 95.6 - - - 37.0 - -
2011 ’j— ’j 50-54 55-59 60-64 — 50-54 55-59 60-64
‘S‘ 103.3 144.9 74.6 146.0 236.0 63.9 33.9 53.4 77.4
‘S‘(”N—î’²®) 52.6 80.4 - - - 29.5 - - -
ç—t 71.1 99.7 35.2 96.1 146.7 42.7 35.9 44.1 48.5
ç—t(”N—î’²®) 37.3 56.4 - - - 20.8 - - -
‹ž“s 102.6 145.7 77.8 127.7 207.3 62.9 30.0 42.0 78.9
‹ž“s(”N—î’²®) 52.0 80.5 - - - 28.8 - - -
˜a‰ÌŽR 128.7 180.7 71.3 131.3 243.7 82.6 37.9 57.6 96.9
˜a‰ÌŽR(”N—î’²®) 56.0 85.5 - - - 32.8 - - -
2011 ’j— ”N—î’²® 50-54 55-59 60-64
‘S‘ 103.3 52.6 54.2 99.3 155.2
ç—t 71.1 37.3 27.9 67.0 97.7
‹ž“s 102.6 52.0 53.4 83.3 140.2
˜a‰ÌŽR 128.7 56.0 54.0 93.4 167.5
Ž€–S “s“¹•{Œ§•Ê(‘ÎlŒû10–œl)
”N “s“¹•{Œ§ «•Ê ”N—î •”ˆÊ ”N—î’²®—¦ •W€Œë· ”N—î’²®—¦(¢ŠElŒû) •W€Œë· •W€‰»”ä(‘S‘=100)
2009-2013 ç—tŒ§ ’j« ‘S”N—î ˆÝ 27.234 0.32 18.129 0.223 100.591
2013 ç—tŒ§ ’j« ‘S”N—î ˆÝ 26.335 0.684 17.462 0.48 104.958
2011 ç—tŒ§ ’j« ‘S”N—î ˆÝ 26.323 0.705 17.472 0.492 96.475
2003 ç—tŒ§ ’j« ‘S”N—î ˆÝ 34.407 0.936 22.991 0.633 99.095
1995 ç—tŒ§ ’j« ‘S”N—î ˆÝ 49.834 1.358 33.771 0.911 109.99
2009-2013 ‹ž“s•{ ’j« ‘S”N—î ˆÝ 26.797 0.494 18.01 0.352 97.585
2013 ‹ž“s•{ ’j« ‘S”N—î ˆÝ 24.461 1.026 16.4 0.734 96.997
2011 ‹ž“s•{ ’j« ‘S”N—î ˆÝ 27.748 1.126 18.587 0.799 100.172
2003 ‹ž“s•{ ’j« ‘S”N—î ˆÝ 33.007 1.325 22.174 0.921 95.824
1995 ‹ž“s•{ ’j« ‘S”N—î ˆÝ 44.804 1.755 30.123 1.197 99.139
2009-2013 ˜a‰ÌŽRŒ§ ’j« ‘S”N—î ˆÝ 29.979 0.827 20.411 0.608 106.41
2013 ˜a‰ÌŽRŒ§ ’j« ‘S”N—î ˆÝ 29.964 1.846 20.25 1.346 113.999
2011 ˜a‰ÌŽRŒ§ ’j« ‘S”N—î ˆÝ 28.694 1.834 19.576 1.384 100.707
2003 ˜a‰ÌŽRŒ§ ’j« ‘S”N—î ˆÝ 37.101 2.155 25.558 1.563 104.098
1995 ˜a‰ÌŽRŒ§ ’j« ‘S”N—î ˆÝ 45.572 2.556 31.118 1.785 100.976
2009-2013 ç—tŒ§ —« ‘S”N—î ˆÝ 10.19 0.192 6.866 0.142 100.826
2013 ç—tŒ§ —« ‘S”N—î ˆÝ 8.671 0.388 5.775 0.287 94.131
2011 ç—tŒ§ —« ‘S”N—î ˆÝ 10.877 0.444 7.276 0.326 106.896
2003 ç—tŒ§ —« ‘S”N—î ˆÝ 13.463 0.544 9.024 0.388 99.973
1995 ç—tŒ§ —« ‘S”N—î ˆÝ 18.413 0.72 12.75 0.517 99.435
2009-2013 ‹ž“s•{ —« ‘S”N—î ˆÝ 10.365 0.292 7.007 0.216 101.689
2013 ‹ž“s•{ —« ‘S”N—î ˆÝ 9.015 0.574 6.042 0.422 98.207
2011 ‹ž“s•{ —« ‘S”N—î ˆÝ 10.269 0.656 6.949 0.487 99.636
2003 ‹ž“s•{ —« ‘S”N—î ˆÝ 14.891 0.853 10.28 0.637 106.783
1995 ‹ž“s•{ —« ‘S”N—î ˆÝ 19.337 1.01 13.493 0.747 102.622
2009-2013 ˜a‰ÌŽRŒ§ —« ‘S”N—î ˆÝ 11.739 0.492 8.023 0.375 111.004
2013 ˜a‰ÌŽRŒ§ —« ‘S”N—î ˆÝ 9.59 0.987 6.517 0.792 107.136
2011 ˜a‰ÌŽRŒ§ —« ‘S”N—î ˆÝ 11.195 1.019 7.492 0.744 108.478
2003 ˜a‰ÌŽRŒ§ —« ‘S”N—î ˆÝ 11.681 1.038 7.932 0.767 90.159
1995 ˜a‰ÌŽRŒ§ —« ‘S”N—î ˆÝ 19.284 1.454 13.107 1.053 107.446
‚Ü‚¸–ڂɂ‚‚͔̂N“x‚É‚æ‚Á‚ÄA‚Ü‚½’nˆæ‚É‚æ‚è‚©‚È‚è‚΂ç‚‚«‚ª‚ ‚邱‚Ƃł·B’j—ŠÔ‚Ì·ˆÙ‚à‚©‚È‚è‘å‚«‚‚È‚Á‚Ä‚¢‚Ü‚·B—«‚Í”NXˆÝ‚ª‚ñœëг—¦‚ªŒ¸‚Á‚Ä‚¢‚Ü‚·‚ªA’j«‚Í•K‚¸‚µ‚àˆê—l‚ÉŒ¸‚Á‚Ä‚¢‚邯‚àŒ¾‚¦‚Ü‚¹‚ñB‰º‚Ì}‚ª‚»‚̃Cƒ‰ƒXƒg•\ަ‚Å‚·Bç—t‚Í•½‘S‘‹Ï‚æ‚è’á‚A‹ž“s‚Ƙa‰ÌŽR‚Í‘S‘•½‹Ï‚æ‚è‚‚‚È‚Á‚Ä‚¢‚Ü‚·B
‚±‚ÌŒXŒü‚Ææ‚قǂ̔äŠr‚Í–¾Šm‚ɂ͊֘A‚ª‚ ‚è‚Ü‚¹‚ñB‚â‚͂肻‚Ì‘¼‚Ì—vˆö‚ª‘å‚«‚¢‚±‚ƂɂȂè‚Ü‚·BŒ»ó‚Å‚ÍASasazuki“™5)‚Ì131.240 (10–œl/”N)‚ð’j—‹¤’ʂƂµ‚Ä‚Íl—¶‚É“ü‚ê‚邯‚±‚ë‚Å‚µ‚傤‚©B‚½‚¾A‘O‚É‚àq‚ׂ܂µ‚½‚ª–{—ˆ’j—•ʂɉðÍ‚ð‚µA’j—•ʂɂ»‚Ì’l‚ð‹‚ß‚é‚ׂ«‚Å‚·‚ªŒ»ó“K؂ȃf[ƒ^‚ªŒ©“–‚½‚è‚Ü‚¹‚ñB‚»‚Ì“_‚Å‚àABCDƒOƒ‹[ƒv‚É‚æ‚郊ƒXƒN”»’f‚͂܂¾‚»‚ÌŽžŠú‚ł͂Ȃ¢‚Æ“ü‚ê‚é‚̂łµ‚傤‚©B

ƒyƒvƒVƒm[ƒQƒ“‚̉e‹¿‚̉ðÍA‚»‚µ‚ăsƒƒŠ‹Ûœ‹Ž‚̉e‹¿A‹y‚Ñ‚»‚Ì‘¼‚݂̈ª‚ñ‚Ì—vˆö‚̉ðÍ‚ð‡X‚ɉÁ‚¦‚Ä‚¢‚—\’è‚Å‚·B
ƒsƒƒŠ‹Ûœ‹Û‚ÌŒø‰Ê‚ÍŒ’íŽÒ‚ł̖¾Šm‚ȃf[ƒ^‚ª‚ ‚è‚Ü‚¹‚ñB‘ŠúˆÝŠà‚Ì“àŽ‹‹¾Ž¡—ÃŒã2ŽŸŠà‚Ì—\–h‚ɂ͖¾Šm‚ÈŒø‰Ê24) ‚ªo‚Ä‚¢‚Ü‚·‚ªA‚»‚ê‚ÍŒ’íŽÒ‚̃sƒƒŠ‹Ûœ‹Û‚É‚æ‚éŒø‰Ê‚ɂ͓–‚Ă͂߂邱‚Æ‚ªo—ˆ‚Ü‚¹‚ñB‚»‚±‚ÅŽŸ‚Ì—á‚ɃyƒvƒVƒm[ƒQƒ“‚Ìó‘ԂƃsƒƒŠ‹Ûœ‹Û‚Ì‘g‚݇‚킹‚ÅŒø‰Ê‚ðŒ©‚Ä‚¢‚é‚à‚Ì‚ª‚ ‚è‚܂܂·B‚±‚Ì—á‚ðƒyƒvƒVƒm[ƒQƒ“’P“Ƃł̌ø‰Ê‚ƂƂà‚ɉðÍ‚µ‚Ă݂½‚¢‚ÆŽv‚¢‚Ü‚·B
Wakayama prefecture
1994/Apr – 1997/Mar
|
23) |
PG I LEVEL 70 mg/1 AND PG I/II RATIO 3.0 |
|||||
|
|
Group with H. pylori infection |
Group with H. pylori eradication |
||||
|
Total |
PG test negative |
PG test positive |
Total |
PG test negative |
PG test positive |
|
|
Subjects |
3656.0 |
2327.0 |
1329.0 |
473.0 |
318.0 |
155.0 |
|
Person-years |
35101.5 |
22436.0 |
12665.5 |
4263.0 |
2918.0 |
1345.0 |
|
Age y [mean (SD)] |
49.8 (4.6) |
49.5 (4.7) |
50.4 (4.3) |
49.6 (5.5) |
49.3 (5.6) |
50.9 (5.5) |
|
Current smoking n (%) |
2087.0 (57.1) |
1242.0 (53.4) |
845.0 (63.6) |
262.0 (55.4) |
169.0 (53.1) |
93.0 (60.0) |
|
Alcohol use, n (%) |
2432.0 (66.5) |
1479.0 (63.6) |
953.0 (71.7) |
310.0 (65.5) |
204.0 (64.2) |
106.0 (68.4) |
|
Follow-up y [mean(SD)] |
9.6 (1.0) |
9.6 (1.1) |
9.5 (1.1) |
9.1 (1.4) |
9.2 (1.3) |
8.7 (1.6) |
|
PG I, ng/ml [mean(SD)] |
62.0 (32.5) |
75.8 (31.1) |
37.9 (17.5) |
74.2 (34.6) |
92.5 (57.0) |
36.8 (18.2) |
|
PG II, ng/ml [mean(SD)] |
20.0 (11.0) |
20.3 (12.4) |
19.5 (7.8) |
23.1 (14.6) |
24.9 (16.5) |
19.5 (8.4) |
|
PG I/II [mean(SD)] |
3.4 (1.6) |
4.3 (1.4) |
2.0 (0.7) |
3.4 (1.5) |
4.1 (1.3) |
1.9 (0.7) |
|
Total gastric cancer |
||||||
|
Age y [mean(SD)] |
50.8 (3.9) |
50.6 (4.3) |
50.9 (3.6) |
53.4 (5.5) |
50.5 (3.5) |
55.3 (6.4) |
|
Size of the cancer, mm [mean(SD)] |
12.8 (8.3) |
14.4 (10.4) |
11.4 (5.3) |
12.0 (5.7) |
12.5 (3.5) |
11.7 (7.6) |
|
Depth of cancer invasion (m:sm:mp) |
41:9:5 |
15:7:3 |
26:2:2 |
5:0:0 |
2:0:0 |
3:0:0 |
|
Follow-up, y [mean(SD)] |
5.9 (2.5) |
4.3 (2.4) |
5.6 (2.5) |
6.0 (1.0) |
5.0 (0) |
6.7 (0.6) |
|
Cases/incidence rate |
55/157 |
25/111 |
30/237 |
5/117 |
2/69 |
3/223 |
|
Intestinal gastric cancer |
||||||
|
Cases/incidence rate |
36/103 |
14/62 |
22/174 |
4/94 |
1/34 |
3/223 |
|
Diffuse gastric cancer |
||||||
|
Cases/incidence rate |
19/54 |
11/49 |
8/63 |
1/23 |
1/34 |
0 |
IR(total) = 60/39364.5 = 0.01524215 (152.4216‘Î10–œl)
IRHP+ = 55/35101.5 = 0.001566884 (156.6884‘Î10–œl) IRRHP+ 1.0280
CI = IRRHP+ x exp (}1.96 x ã(1/55 + 1/60)) = 1.028 x exp(}0.365887878) = 1.482/0.713
IRHP- = 5/4263.0 = 0.001172882 (117.2883‘Î10–œl) IRRHP- 0.7695
IRPG+ = 33/14010.5 = 0.002355376 (235.5376‘Î10–œl) IRRPG+1.5453
IRPG- = 27/25354 = 0.00106492 (106.4921‘Î10–œl) IRRPG- = 0.6987
IRHP+PG+ = 30/12665.5 = 0.002369 (236.8639‘Î10–œl) IRRHP+PG+ = 1.5540
IRHP-PG+ = 3/1345 = 0.002240 (223.0483‘Î10–œl)
IRRHP-PG+ = 1.4634 IRR HP-PG+HP+PG+= 0.9417
IRHP+PG- = 25/22436.0 = 0.0011129 (111.2941‘Î10–œl) IRRHP+PG- = 0.7302
IRHP-PG- = 2/2918 = 0.0006854 (68.5401‘Î10–œl)
IRRHP-PG- = 0.4497 IRRHP-PG-HP-PG+ = 0.6159 CI = 2.600/0.1459
˜_•¶‚Å‚ÍAŽŸ‚Ì2ƒ^ƒCƒvAPG Negative HP infection‚ÆPG Negative HP eradication‚ªLog-Rank test‚ð—p‚¢‚Ä—LˆÓ·‚ª‚ ‚邯‚µ‚Ä‚¢‚Ü‚·B‚»‚ÌKamplan-MeierƒJ[ƒu‚ðŒ©‚Ü‚·‚ÆLog-Rank Test‚𓖂Ă͂߂é‚ɂ͂©‚Ȃ薳—‚Ì‚ ‚éŒ`‚ð‚µ‚Ä‚¢‚Ü‚·B‚»‚±‚ÅA‚Ü‚¸Š´õ—¦‚ð‹‚߂Ă݂µ‚傤B
|
Type |
Cases |
Persons-years |
|
PG Negative HP eradication |
2 |
2918 |
|
PG Negative HP infection |
25 |
22436 |
IR = (2/2918) / (25/22436) = 0.6151
CI = 0.6151 x exp(}1.96ã(1/2 + 1/25)) = 2.5969/0.1457
‚±‚¿‚ç‚Å‚ÍA1.0‚ð‚Ü‚½‚¢‚Å‚¢‚Ü‚·‚̂ŗLˆÓ·‚È‚µ‚Æ‚¢‚¤‚±‚ƂɂȂè‚Ü‚·B
|
Type |
ˆÝŠàœëг |
”ñœëг |
Total |
|
PG Negative HP infection |
25 |
2302 |
2327 |
|
PG Negative HP eradication |
2 |
316 |
318 |
RR = 0.407/1.708/7.178
OR = 0.404/1.716/7,279
‚±‚ê‚ðŒ©‚Ä‚à“Œv“I—LˆÓ·‚͂Ȃ¢‚ƂȂé‚Å‚µ‚傤B
œëг—¦‚Æ‚µ‚Ä‚Í(68.5401‘Î10–œl)‚Æ (111.2941‘Î10–œl) ‘S‘Ì‚Ì(152.4216‘Î10–œl)œëг—¦‚æ‚èAŠÇ—’á‚‚È‚Á‚Ä‚¢‚Ü‚·B
|
Type |
Cases |
Persons-years |
|
PG Negative |
33 |
14010.5 |
|
PG Positive |
27 |
25354 |
IR = (33/14010.5) / (27/25354) = 2.2118
CI = 2.2118 x exp(}1.96ã(1/33 + 1/27)) = 3.6782/1.3300
‚±‚Ì—l‚ɃyƒvƒVƒm[ƒQƒ“‚Ìó‘Ô‚É“Œv“I‚È—LˆÓ·‚ª‚ ‚邯l‚¦‚ç‚ê‚Ü‚·B
‚±‚ÌŒ‹‰Ê‚Í‚¢‚ë‚¢‚ë‚Èó‘Ô‚Ì‘Š‘ÎƒŠƒXƒN‚ðl‚¦‚é‚̂ɂ͎Ql‚ƂȂè‚Ü‚·‚̂ʼnðÍ‚µ‚Ă݂µ‚傤B
IR(total) = 60/39364.5 = 0.01524215 (152.4216‘Î10–œl)
ƒx[ƒX‚Í‚±‚Ì‘S‘̜̂늳—¦‚Å‚·B
æ‚قǂ̉ð͂̕½‹Ï131.240 (10–œl/”N)‚æ‚è‚â‚â‚‚¢‚悤‚Å‚·‚ªA˜_•¶‚É‚à‚ ‚邿‚¤‚ɘa‰ÌŽRŒ§‚Í2005”NA“ú–{‚Å5”ԖڂɈ݊à‚ÌŽ€–S—¦‚ª‚‚¢‚Æ‚¢‚¤‚±‚ƂȂ̂ł±‚Ì’l‚͑Ó–‚È’l‚ł͂Ȃ¢‚Å‚µ‚傤‚©B
ƒsƒƒŠ‹Ûœëг‚ÌƒŠƒXƒN‚ÍŽŸ‚Ì—l‚ɂȂè‚Ü‚·‚Ì‚ÅA
IRHP+ = 55/35101.5 = 0.001566884 (156.6884‘Î10–œl)
ƒsƒƒŠ‹Ûœëг‚É‚æ‚鑊‘ÎƒŠƒXƒN‚Í
(”ä)IRHP+/IR = 1.028@ (·)4.2668 (‘Î10–œl)
“¯—l‚ɃsƒƒŠ‹Ûœ‹Û‚Ì‘Š‘ÎƒŠƒXƒN‚Í
(‘Š‘ÎƒŠƒXƒN)117.2883‘Î10–œl@(‘Š‘ÎƒŠƒXƒN)@(”ä) 0.7695 (·)-35.1333
ƒyƒvƒVƒm[ƒQƒ“{
(‘Š‘ÎƒŠƒXƒN)235.5376 ‘Î10–œl@(‘Š‘ÎƒŠƒXƒN)@(”ä) 1.5453 (·)83.116
ƒyƒvƒVƒm[ƒQƒ“|
(‘Š‘ÎƒŠƒXƒN)106.4921‘Î10–œl@(‘Š‘ÎƒŠƒXƒN)@(”ä) 0.6987 (·)-45.4295
ƒsƒƒŠ‹ÛŠ´õ@ƒyƒvƒVƒm[ƒQƒ“|
(‘Š‘ÎƒŠƒXƒN)111.2941‘Î10–œl@(‘Š‘ÎƒŠƒXƒN)@(”ä) 0.7302 (·)-41.1275
ƒsƒƒŠ‹ÛŠ´õ@ƒyƒvƒVƒm[ƒQƒ“{
(‘Š‘ÎƒŠƒXƒN)236.8639‘Î10–œl@(‘Š‘ÎƒŠƒXƒN)@(”ä) 1.5540 (·) 84.4423
ƒsƒƒŠ‹Û”ñŠ´õ@ƒyƒvƒVƒm[ƒQƒ“|
(‘Š‘ÎƒŠƒXƒN)68.5401‘Î10–œl@(‘Š‘ÎƒŠƒXƒN)@(”ä) 0.4497 (·) -83.8815
ƒsƒƒŠ‹Û”ñŠ´õ@ƒyƒvƒVƒm[ƒQƒ“{
(‘Š‘ÎƒŠƒXƒN)223.0483‘Î10–œl@(‘Š‘ÎƒŠƒXƒN)@(”ä) 1.4634 (·) 70.6267
‚±‚ê‚ç‚Ì‘Š‘ÎƒŠƒXƒN‚Í—\–h‚ÉŽg‚¦‚»‚¤‚Å‚·B
Normali³íˆÝj¨GastritisiˆÝ‰Šj¨AtrophyiˆÏkj¨Intestinal Metaplasiai’°ã”牻¶j¨DysplasiaiˆÙŒ`¬j
‚±‚̇˜‚ªIntesinalƒ^ƒCƒv‚݂̈ª‚ñ‚ɂȂéH’ö‚Å‚ ‚肱‚ê‚ɃsƒƒŠ‹Û‚͑傫‚‚©‚©‚í‚Á‚Ä‚¢‚邯‚¢‚í‚ê‚Ä‚¢‚Ü‚·B‚»‚µ‚ÄA‘ŠúˆÝŠà‚Ì“àŽ‹‹¾Ž¡—ÃŒã2ŽŸŠà‚Ì—\–h‚ɂ͌ø‰Ê‚ª‚ ‚邯‚¢‚í‚ê‚Ä‚¢‚Ü‚·B‰½‚©‚Ü‚¾—vˆö‚ª‘«‚è‚È‚¢‚Æl‚¦‚é‚Ì‚ª‚æ‚¢‚Å‚µ‚傤B¡Œã‚ÌŒ¤‹†‚ª‘Ò‚½‚ê‚Ü‚·B
ƒyƒvƒVƒm[ƒQƒ“‚ÌŒø‰Ê‚ð15”NŠÔ’ÇÕ’²¸‚µ‚½Œ‹‰Ê‚ðŒ©‚Ä‚Ý‚Ü‚µ‚傤B25)
‚Ü‚¸AƒyƒvƒVƒm[ƒQƒ“‚Ì—z«—¦‚ðŒ©‚Ä‚Ý‚Ü‚µ‚傤B
ƒTƒ“ƒvƒ‹”N“x‚Í1995”N‚Å‚·B—z«—¦‚Í’j«754/2861 = 26.354% (45.1}6.5) —«379/24.674% (44.7}6.4)‚ƂȂÁ‚Ä‚¢‚Ü‚·B21)‚Ìî•ñ‚Æ”ä‚ׂ邯Aꊂª“Á’è‚Å‚«‚È‚¢ã‚ł̘b‚Å‚·‚ªA‚‚¢•”—Þ‚É‘®‚µ‚Ü‚·‚ªA‘Ó–‚Èü‚Æ‚¢‚¤‚Æ‚±‚ë‚Å‚µ‚傤B
|
|
œëгl” |
ŠÏŽ@l”N |
•½‹Ï’ÇÕŠúŠÔ |
•½‹Ï”N—î |
|
—z« |
18 |
5415.5 |
4.8}0.7 |
51.4}4.5 |
|
‰A« |
9 |
15859.5 |
4.8}0.5 |
49.6}6.1 |
|
—z« |
27 |
9673.5 |
9.2}1.9 |
51.5}4.4 |
|
‰A« |
16 |
29909.5 |
8.5}2.4 |
50.8}5.9 |
|
—z« |
29 |
12562.5 |
12.7}3.7 |
51.9}4.5 |
|
‰A« |
31 |
41322.5 |
11.1}4.3 |
52.8}5.5 |
5”N‘S‘Ì
IR = 27/21275 = 126.910 IR+ = 18/5415.5 = 332.379 IR- = 9/15859.5 = 56.748
IR+/IR- = 332.379/56.748 = 5.857 CI = exp (}1.96 x ã(1/18 + 1/9)) = 2.2259/0.44925
2.631< IR5= 5.857 <13.037
10”N‘S‘Ì
IR = 108.632 IR+ = 27/9673.5 = 279.113 IR- = 16/29909.5 = 53.495
IR+/IR- = 279.113/53.495 = 5.2176 CI = 5.2176 * exp (}1.96 x ã(1/27 + 1/16)) =9.6833/2.811
2.811< IR10 = 5.2176 < 9.6833
15”N‘S‘Ì
IR = 111.348 IR+ = 29/12562.5 = 230.846 IR- = 75.017
IR+/IR- = 230.846/75.017 = 3.077 CI = 3.077 * exp (}1.96 x ã(1/29 + 1/31)) =5.1054/1.8544
1.8544 < IR15 = 3.077 < 5.1054
‚±‚ê‚ɑ΂µ˜_•¶‚ł̓RƒbƒNƒX”ä—áƒnƒU[ƒhƒ‚ƒfƒ‹‚ðŽg—p‚µ‚Ä‚¨‚è‚»‚Ì’l‚Í
2.19<4.98<11.29 2.49<4.71<8.89 1.64<2.76<4.65‚Ƌ߂¢’l‚ƂȂÁ‚Ä‚¢‚Ü‚·B‚±‚ê‚͉º}‚̂悤‚É”ä—áƒnƒU[ƒh‚ª¬‚è—§‚Á‚Ä‚¢‚é‚̂ɋ߂¢Œ`‚ð‚µ‚Ä‚¢‚邹‚¢‚Å‚ ‚邯l‚¦‚ç‚ê‚Ü‚·B

25)‚æ‚è“]ŽÊ
ŋ߂͂±‚̃Oƒ‰ƒt‚̂悤‚ɃJƒvƒ‰ƒ“ƒ}ƒCƒ„[ƒJ[ƒu‚ÉM—Š‹æŠÔ‚ðŽ¦‚³‚È‚¢‚à‚Ì‚ª‘½‚¢‚Å‚·‚ªAƒTƒ“ƒvƒ‹”‚ª‘å‚«‚Œ¸‚Á‚Ä‚¨‚èA‚»‚Ì—vˆö‚ª’ÇÕ•s‰Â”\‚Ȃ̂©ƒCƒxƒ“ƒg”¶‚Ȃ̂©‚Í‚Á‚«‚肵‚Ü‚¹‚ñBM—Š‹æŠÔ‚ð•t‚¯‚é‚ׂ«‚Å‚·B‚±‚̃Oƒ‰ƒt‚Í‹°‚炌㔼‚ÌŒ‹‰Ê‚̓Tƒ“ƒvƒ‹”‚ÌŒ¸‚è•û‚©‚猩‚ÄA‚©‚È‚èM—Š“x‚É‚©‚¯‚邯—\‘z‚³‚ê‚Ü‚·B
IR5 = 126.910 IR10 = 108.632 IR15 = 111.348 ‚±‚ê‚ç‚Í‘O‚Ì131.240 (10–œl/”N)‚Æ”ä‚ׂđÓ–‚Èü‚Æl‚¦‚ç‚ê‚Ü‚·Bˆê•ûA‚T”NŒã‚ªˆê”Ô‚‚A‚P‚O”N‚ ‚½‚è‚©‚ç—Ž‚¿’…‚¢‚Ä‚‚é——R‚͂Ȃñ‚Å‚µ‚傤B”N—î‚ðd‚˂܂·‚̂ŒÇÕŠúŠÔ‚ª’·‚¢‚قǜ늳—¦‚ª‚‚‚Ȃ肻‚¤‚È‚à‚̂ł·‚ªA‚»‚̂悤‚ɂ͂ȂÁ‚Ä‚¢‚Ü‚¹‚ñB
ã‚Ì}‚©‚烃Xƒg‚ðƒJƒEƒ“ƒg‚·‚邯
‰A« 3250(‰ŠúƒTƒ“ƒvƒ‹”) – 31(ˆÝ‚ª‚ñœëг) – 1748(ÅIƒTƒ“ƒvƒ‹”) = 1471
(45.3%)
—z« 1133
– 29 – 365 = 739 (65.2%)
‚±‚ÌŠ„‡‚ðl‚¦‚邯’ÇÕ•s”\‚ÌŠ„‡‚ª‘½‚A“Á‚É—z«‚Ì10”N‚©‚ç15”N‚̊Ԃ̃ƒXƒg‚ª‘½‚A‚»‚Ì‚±‚Ƃ̓Jƒvƒ‰ƒ“ƒ}ƒCƒ„[ƒJ[ƒu‚É–¾Šm‚ÉŒ»‚ê‚Ä‚¨‚èA1133–¼’†‡Œv29–¼‚̜늳‚Å‚ ‚é‚Ì‚ÉA’i·‚ª”ñí‚ɑ傫‚¢A‚±‚ê‚©‚ç„’è‚·‚é‚É‚©‚È‚è15”NˆÈ~‚ÍM—Š‹æŠÔ‚ªL‚ª‚Á‚Ä‚¨M—Š‚ª’u‚¯‚È‚¢‚̂ł͂Ƅ’肳‚ê‚Ü‚·B
‚±‚ÌŒ‹‰Ê‚Æ‘Oo‚Ì5|6”N‚Ì’²¸‚ðl—¶‚µ‚Ü‚·‚ÆAŒ»ó‚ ‚é’ö“x‚Í‚Á‚«‚肵‚Ä‚¢‚é‚Ì‚Í5”NŠÔ’ö“x‚Æ‚¢‚¤‚±‚ƂɂȂé‚Å‚µ‚傤B
‚‚܂èAƒyƒvƒVƒm[ƒQƒ“—z«E‰A«‚Å—\‘ª‰Â”\‚Ȃ̂͂»‚ÌŒã5”N’ö“x‚Æ‚È‚é‚Æl‚¦‚ê‚ê‚Ü‚·B
1) ƒyƒRƒŠ[ƒm‚ª‚ñ‚Ì•ªŽq¶•¨Šw@‘æ2”Å 2014/09 ƒƒfƒBƒJƒ‹ƒTƒCƒGƒ“ƒXƒCƒ“ƒ^[ƒiƒVƒ‡ƒiƒ‹
2) lŒû“®‘Ô“ŒviŒú¶˜J“È‘åbН–[“Œvî•ñ•”•Òj
3) –kŠC“¹‘åŠw@󳔎Ž@Œ¤‹†•ñ
4) Effect
of Helicobacter pylori infection combined with CagA and pepsinogen status on
gastric cancer development among Japanese men and women: a nested case-control
study.
Cancer
Epidemiol Biomarkers Prev. 2006 Jul;15(7):1341-7.
Sasazuki
S1, Inoue M, Iwasaki M, Otani T, Yamamoto S, Ikeda S, Hanaoka T, Tsugane S;
Japan Public Health Center Study Group.
http://www.ncbi.nlm.nih.gov/pubmed/16835334?dopt=Abstract
5) Leslie E. Daly
American Journal of Epidemiology@Vol. 147, No. 8, Confidence Limits Made Easy: Interval Estimation Using a Substitution Method
6) –ò܉uŠwŒ¤‹†“ü–å@‚»‚̃fƒUƒCƒ“‚ƉðÍ@(“ú–{»–òH‹Æ‹¦‰ï)
7) ‰uŠwŒ¤‹†‚É‚¨‚¯‚éŒð—‚ÆŒø‰Ê‚ÌCü@²“¡rÆŽ “Œv”—(1994) 42Šª 1†@83-101
8) ’nˆæ‚ª‚ñ“o˜^‘S‘„Œv’l
Matsuda A, Matsuda T, Shibata A, Katanoda K, Sobue T, Nishimoto H and The Japan Cancer Surveillance Research Group. Cancer Incidence and Incidence Rates in Japan in 2008: A Study of 25 Population-based Cancer Registries for the Monitoring of Cancer Incidence in Japan (MCIJ) Project. Japanese Journal of Clinical Oncology, 44(4): 388-396, 2013
9) Int J Cancer. 2014 Mar 15;134(6):1445-57. doi: 10.1002/ijc.28470. Epub 2013 Oct 3.
Cancer development based on chronic active gastritis and resulting gastric atrophy as assessed by serum levels of pepsinogen and Helicobacter pylori antibody titer.
Yoshida T1, Kato J, Inoue I, Yoshimura N, Deguchi H, Mukoubayashi C, Oka M, Watanabe M, Enomoto S, Niwa T, Maekita T, Iguchi M, Tamai H, Utsunomiya H, Yamamichi N, Fujishiro M, Iwane M, Takeshita T, Ushijima T, Ichinose M.
http://www.ncbi.nlm.nih.gov/pubmed/24009139
10) ˆäã˜a•FŽFGastro-Health Now, 2010
11) ŽRŒûŽ“™@’²¸Œ¤‹†ƒWƒƒ[ƒi[ƒ‹2013 Vol.2 No.1
12) Watabe H,
Mitsushima T, Yamaji Y, Okamoto M, Wada R, Kokubo T, Doi H, Yoshida H, Kawabe
T, Omata M. Predicting the development of gastric cancer from combining
Helicobacter pylori antibodies and serum pepsinogen status: a prospective endoscopic
cohort study. Gut. 2005;54:764–76
13) Int J Cancer. 2004 Mar;109(1):138-43.
Progression of chronic atrophic gastritis associated with Helicobacter pylori infection increases risk of gastric cancer.
Ohata H etc.
14) ‚²‘¶‚¶‚Å‚·‚©H‚ª‚ñƒŠƒXƒNŒŸf(‚`‚a‚bŒŸf)@“ú–{Œ’N‘ià’c
15) Gastro-Health Now, 2013 ‘æ28†@‰i“cŽ
16) Gastro-Health Now, 2014 ‘æ33† ’|àVŽ
17) Gastro-Health Now, 2014 ‘æ32† ‰Ô‰ªŽ
18) Gastro-Health Now, 2014 ‘æ31† ¼‰ªŽ
19) Mizuno S,
Miki I, Ishida T, Yoshida M, Onoyama M, Azuma T, Habu Y, Inokuchi H, Ozasa K,
Miki K, et al. Prescreening of a high-risk group for gastric cancer by
serologically determined Helicobacter pylori infection and atrophic gastritis. Dig Dis Sci. 2010;55:3132–3137
20) “ú–{Á‰»Ší•aŠw‰ï
21)@ɪŒú¶•a‰@
22) ‘S‘‚ª‚ñœëгƒ‚ƒjƒ^ƒŠƒ“ƒOWŒv
‚ª‚ñî•ñƒT[ƒrƒX
http://ganjoho.jp/professional/statistics/monita.html
23)
Yanaoka K etc.
Int J Cancer. 2009 Dec 1;125(11):2697-703. doi: 10.1002/ijc.24591.
Eradication of Helicobacter pylori prevents cancer development in subjects with mild gastric atrophy identified by serum pepsinogen levels.
24)
Fukase K etc.
Lancet. 2008 Aug 2;372(9636):392-7. doi: 10.1016/S0140-6736(08)61159-9.
Effect of eradication of Helicobacter pylori on incidence of metachronous gastric carcinoma after endoscopic resection of early gastric cancer: an open-label, randomised controlled trial.
25)
Okuno etc
A 15-year cohort study on the incidence of gastric cancer and the validity of testing based on serum pepsinogen screening test
http://dspace.lib.kanazawa-u.ac.jp/dspace/handle/2297/33119